Introducción
El análisis del bienestar social, tanto a nivel internacional como en Cuba, es una realidad compleja de carácter multidimensional y difícil de medir, dado que no solo incorpora diversos elementos materiales de carácter objetivo y por tanto, mensurables (renta, salud, educación, empleo, etc.) sino también percepciones y estados subjetivos a los que únicamente se puede acceder a través de encuestas y con resultados que dependen de la escala de valores que se utilice.
A nivel internacional la medición del bienestar ha sido enfocada a través de varios puntos de vista o grandes enfoques que han evolucionado a lo largo del tiempo y han sido objeto de varias aportaciones. Ellos son: el enfoque de las funciones de utilidad, el enfoque contable y el enfoque de indicadores sociales, la medición del bienestar a través de la medición de la equidad en la distribución de los ingresos, enfoque de contabilidad social y más recientemente el enfoque de capacidades. (Stiglitz, Sen y Fitoussi, et.al., 2009), (Di Filippo y Mathey, 2008), (Urquijo, 2007), (Zarzosa, 2005, 1996), entre otros.
En Cuba puede decirse que los estudios sobre bienestar, desigualdad, pobreza, calidad de vida, política social y desarrollo, han tenido un importante lugar en el panorama de las ciencias sociales en el país y han merecido especial atención tanto por investigadores como por las autoridades gubernamentales desde el triunfo de la Revolución en 1959. Sin embargo, a pesar de todas las medidas adoptadas y de las variadas aportaciones desarrolladas por los investigadores, aún persisten disparidades en los niveles de bienestar de las familias.
Teniendo en cuenta estos aspectos, su objetivo fundamental es proponer un procedimiento metodológico que permita la precisión de los factores que determinan el bienestar y la desigualdad del ingreso de la familia cubana que contribuya a una acertada política de desarrollo económico y social sostenible instrumentada por el estado.
Desarrollo
I. Algunas consideraciones en relación al concepto de bienestar social
Desde la vertiente económica al analizar el concepto de Bienestar Social es muy importante tener en cuenta que el significado del término varía dependiendo de las corrientes de pensamiento que lo utilizan.
Al consultar varios autores internacionales, buscando un concepto apropiado de bienestar social, se aprecian varias ideas, ya que a todos les resulta difícil llegar a definir en una expresión concreta los sentimientos de satisfacción que producen en los individuos y colectividades una serie de condiciones materiales, como el nivel de ingresos, equipamiento de la vivienda, acceso a la educación, salud, etc. Por esta razón, las propuestas para su medición han resultado múltiples, influenciadas por las estadísticas existentes y la unidad de análisis seleccionada.1
Estas dificultades, que se ponen de manifiesto al examinar los diferentes conceptos en torno al bienestar social, afectan lógicamente su medición; al respecto, Sánchez y Figueroa plantean: “…la medición del bienestar depende de la cuantificación de variables múltiples en las que la teoría y la práctica económica, no han consensuado todas las aristas del impacto en general…” (Sánchez y Figueroa, 2004: 188).
Los autores comparten el criterio de varios expertos internacionales y nacionales en el tema, que consideran imposible llegar a obtener un índice absoluto y exacto que recoja todos los aspectos materiales e inmateriales, objetivos o subjetivos del bienestar; sin embargo, afirman que esto no constituye impedimento para la realización de investigaciones en este campo de tanta importancia y actualidad, pues la medición de este concepto no solo debe realizarse de forma cuantitativa, sino que además se deben valorar aspectos cualitativos que pueden precisar aún más la situación en torno al mismo y complementar dichas investigaciones de manera que sus resultados sean de mayor utilidad para los actores regionales y locales a la hora de implementar políticas de desarrollo sostenible que contribuyan a elevar el bienestar y la calidad de vida de las familias.
Como resultado del análisis efectuado los autores asumen que el Bienestar Social es la integración de un conjunto de condiciones objetivas como el tener acceso a una buena educación, salud, una vivienda confortable, un buen empleo que proporcione determinados ingresos para satisfacer las necesidades básicas fundamentales, disfrutar de un medioambiente adecuado, es equidad, es justicia social y la percepción que sobre aquellas tengan, ya sean satisfacciones o insatisfacciones, aptitudes, aspiraciones y decepciones. Por lo que una correcta medición del bienestar social debe realizarse incorporando tanto indicadores objetivos como subjetivos para garantizar que las políticas que se deriven contribuyan a elevar el bienestar y reducir las disparidades existentes.
II. Diferentes enfoques utilizados en la medición del bienestar social a nivel internacional
A continuación se explican los distintos enfoques o métodos de medición del Bienestar Social que se han utilizado en el pasado, donde se aprecian tres puntos de vista fundamentales o tres grandes enfoques: el de las funciones de utilidad, el contable y el de los indicadores sociales.
El enfoque de las funciones de utilidad
Según este enfoque, el método para medir el bienestar consiste en hallar la función de utilidad colectiva a partir de la agregación de las funciones de utilidad2 individual. Esta función de utilidad colectiva sería identificada como la función de Bienestar Social. El problema del enfoque de las funciones de utilidad, como método de medición del bienestar, radica en que no existe una única función de bienestar social, sino que ésta depende de la forma en que se realice la transición del bienestar (utilidad) individual al bienestar social, en definitiva, de los juicios de valor de la persona para quien es una función de bienestar deseable. Con este enfoque se identifican autores como: (Athur Cecil Pigou, 1920), (Pareto, 1909), (Arrow, 1963), (Bergson, 1938), (Samuelson, 1956) entre otros. Las principales críticas a este enfoque provienen de autores como (Lionel Robbins, 1932, 1944) (Van Praag, 1991), (Pilar Zarzosa, 1995, 2005), (Amartya Sen, 1982, 1993, 1996, 1998), entre otros.3
Los autores consideran que este enfoque no es adecuado para realizar una medición del bienestar social dada las condiciones concretas de una economía en transición al socialismo, como es el caso de Cuba pues su soporte central se sustenta en la equivalencia conceptual entre utilidad y bienestar, dejando fuera un conjunto de factores que es necesario considerar a la hora de medir el bienestar social, pues no solo se debe considerar la riqueza material, sino también como se redistribuye la misma por lo que se debe tener en cuenta aspectos como la justicia social, la equidad entre otros.
Además al reducir la medición del bienestar social a su aspecto material en detrimento de otras dimensiones como el medioambiente, la salud, la educación entre otras, no se tiene en cuenta la sostenibilidad, lo que hace que se comprometa el bienestar de las futuras generaciones; además de originar un sesgo en la medición pues se omiten un conjunto de indicadores sociales sin cuyo análisis no podemos hablar de una correcta medición del bienestar social.
Este enfoque plantea que a mayor utilidad mayor es el bienestar social, sin embargo si se analiza este enfoque desde una óptica marxista esta utilidad se acrecienta sobre la base de la capitalización permanente del trabajo no retribuido a la clase obrera. Injusticia que se soporta sobre la base de la propiedad privada capitalista y que lejos de proporcionar bienestar social solo logra enajenación, injusticia y pobreza para la clase obrera.
El Enfoque contable
Este enfoque al igual que el anterior, simplifica el concepto de bienestar a su aspecto material al considerar que riqueza y bienestar son dos conceptos afines y propone como índices sintéticos del nivel de vida y bienestar de un país, el Producto Nacional Bruto (PNB), la Renta Nacional, la Renta Percápita y otro grupo de indicadores representativos de la riqueza y que eran de fácil acceso pues los Sistemas de Cuentas Nacionales4 proporcionaban tales medidas. Posteriormente y con el objetivo de abarcar la dimensión social se introduce el concepto de Consumo Ampliado, que incluye el consumo de servicios gratuitos.
Sus limitaciones vienen dadas, en su versión tradicional, por el hecho de que los indicadores económicos como el PNB, son indicadores de producción y de actividad y no de bienestar. En su versión ampliada, analizando el consumo, por mucho que se modifique el Sistema de Cuentas Nacionales y se amplíe, estos indicadores no recogen todos los aspectos del bienestar social debido a que adolecen de indicadores subjetivos que midan las percepciones, ya sean satisfacciones o insatisfacciones de los individuos en torno a su bienestar.5
Al respecto los autores García y Puig Bastard consideran que el PNB es un indicador de producción y de actividad, no de consumo, por lo tanto ni siquiera es un indicador del “bienestar económico”, menos aún del bienestar total. (García y Puig, 1980:19) en (Zarzosa, 1996).
Otro autor que critica abiertamente este enfoque es Shumacher, quien afirma: “El economista moderno está acostumbrado a medir el nivel de vida por medio del consumo anual, suponiendo siempre que un hombre que consume más está en mejores condiciones que otro que consume menos… Dado que el consumo es meramente un medio para el bienestar humano, el fin sería la obtención de un máximo de bienestar con un mínimo de consumo” (Shumacher, 1978) en (Zarzosa, 1996: 32,33).
El doctor Pena Trapero insiste en la fragilidad de la cadena de flujo en que está basado este enfoque contable ampliado, al afirmar: “Ni todos los elementos del bienestar son medibles monetariamente, ni todos los valores monetarios asociados al bienestar se mueven en idéntica dirección que éste, ni aquellos valores monetarios que podrían ser aceptados lo pueden ser sin tener en cuenta el posible efecto perturbador de los precios” (Pena, 1977: 20) en (Zarzosa, 1996: 33).
Los autores son del criterio que este enfoque, al igual que el anterior, no sería apropiado para desarrollar una medición del bienestar social de la familia no solo en Cuba, sino también a nivel internacional.
Esta claro que para lograr el desarrollo y bienestar social no basta solo con un crecimiento sostenido del PNB, pues no todo crecimiento es sinónimo de bienestar. Una economía puede lograr un crecimiento en su Producto Nacional Bruto y no alcanzar un desarrollo verdadero. Para que un país pueda lograr esto, debe garantizar en primer lugar que los resultados derivados del crecimiento de su economía sean distribuidos de forma equitativa entre todos los miembros de la sociedad, evitando de esta forma que se marginen determinados grupos de la población y con ello se reduzcan las desigualdades socioeconómicas y la pobreza. Por lo tanto el desarrollo se vincula con las formas de distribución, tiene nexos con las condiciones y contenido del trabajo, con el medio ambiente, con el tiempo libre, con la salud, con la educación, en síntesis con el bienestar de la población.
Es consenso de los investigadores consultados tanto nacional como internacionalmente que el PNB es un indicador que presenta limitaciones para medir el desarrollo y bienestar de una sociedad.
El enfoque de indicadores sociales
Se basa en la evaluación directa del bienestar individual, analizando las condiciones sociales en términos no precisamente monetarios mediante indicadores agrupados en componentes que intentan abordar todas las dimensiones de la vida social.
Este enfoque ha sido ampliamente utilizado a nivel internacional. A continuación se exponen algunas propuestas representativas de los estudios sobre indicadores sociales desarrollados por: la Organización de Naciones Unidas (ONU), el Programa de Naciones Unidas para el Desarrollo (PNUD), la Organización para la Cooperación y el Desarrollo Económico (OCDE), el Instituto Nacional de Estadísticas (INE) de España, la Fundación para el Fomento de Estudios Sociales y Sociología Aplicada (FOESSA) y otros autores españoles.





Los autores son del criterio que las limitaciones de estas propuestas, de forma general, vienen dadas principalmente; porque varios de los indicadores resultan ambiguos en cuanto a su significado; otra limitante está dada en que estas propuestas utilizan datos macroeconómicos que son recopilados por las estadísticas oficiales y no siempre estos se encuentran disponibles por lo que pueden resultar escasos; se dificulta muchas veces comparar países o regiones por la heterogeneidad de las fuentes y no siempre es posible por tal motivo captar todos los indicadores; además las estadísticas oficiales carecen de indicadores de percepción por lo que los índices calculados, utilizando dichas fuentes, estarían carentes de aspectos subjetivos; finalmente por el carácter desagregado de los indicadores sociales. Más allá de sus limitaciones los autores consideran que investigando la familia a partir de un cuestionario fiable y válido que permita captar toda la información requerida y calculando un indicador sintético se superan estas y constituye una buena solución al problema. Igual que los anteriores, este enfoque puede consultarse en la obra de Pilar Zarzosa referida anteriormente.
La evolución de los condicionantes históricos sociales en el tiempo generó la combinación de estos enfoques por lo que han surgido otras corrientes y enfoques vigentes en la actualidad, ellos son: la Contabilidad Social, la medición de la Desigualdad de la Renta y el enfoque de Capacidades.
La medición de la desigualdad de la renta
Este enfoque surge de la combinación del enfoque contable con el enfoque de las funciones de utilidad. Según este enfoque se propone la medición del bienestar social a través de una medida que utiliza una sola variable: la renta o los ingresos de los “individuos”, sea este una persona o una familia. A diferencia del enfoque contable, esta medida no es una macromagnitud por lo que se refiere a un individuo, en él no se mide la renta en sí sino su distribución. Al igual que el enfoque de las funciones de utilidad, supone implícita o explícitamente la existencia de una función de bienestar social que recoge los juicios de valor o los fundamentos éticos sobre como se debe pasar del bienestar individual al bienestar social. Este enfoque está en plena vigencia tanto a lo que se refiere a desarrollos teóricos como a evidencias empíricas. Se destacan autores como Theil, Atkison, Maasoumi, Bourgguignon, Shorrocks, Slenick, Van Praag, Fomby, Cowell, Slottje, entre otros.6
Los autores de esta ponencia opinan que la principal limitación de este enfoque para ser aplicado en las condiciones de la economía cubana radica en que cualquier índice que utilice solo la renta o una variable de este tipo no ofrece una medición adecuada del bienestar pues deja fuera una gran cantidad de elementos que son necesarios considerar como medida de tales disparidades.
El enfoque de La Contabilidad Social
Esta corriente o enfoque surge como resultado de la fusión del enfoque contable con el enfoque de indicadores sociales y se denomina La Contabilidad Social.
Regido por este enfoque Prescott (1991) propone a partir del antecedente del trabajo de Barker y de Fox (1985) la utilización de la Contabilidad Social, la que según él describiría adecuadamente los estilos de vida y propone cuentas sociales para evaluar las diferencias interregionales, las cuales se obtendrían a partir de la utilización de técnicas de Taxonomía Regional.7
Los autores consideran que este enfoque pudiera ofrecer resultados más rigurosos que el enfoque contable ampliado, además hasta cierto punto presenta similitudes con el procedimiento propuesto pues utiliza técnicas de Taxonomía Regional, como el análisis de Conglomerados y el Análisis Factorial, concibe el bienestar como un proceso multidimensional y considera imprescindible la utilización de indicadores cualitativos. Sin embargo a diferencia de la propuesta de los autores el estudio difiere en cuanto a la unidad de análisis seleccionada y al factor equivalente de ingreso propuesto por los autores.
El Enfoque de Capacidades
Sen utilizó el concepto de «capacidades» por primera vez el 22 de mayo de 1979 cuando pronunció en la Universidad de Stanford una conferencia que llevó por título ¿Igualdad de qué?, publicada posteriormente en 1980. En esta conferencia Sen muestra un sentido de la igualdad que denominó «igualdad de capacidad básica». En dicha conferencia buscaba evaluar y valorar el bienestar [Well‐being] desde el punto de vista de la habilidad de una persona para hacer actos o alcanzar estados valiosos: “Es argumentable que lo que falta en todo este marco es una noción de «capacidades básicas» [basic capabilities]: que una persona sea capaz de hacer ciertas cosas básicas” (Sen, 1982: 367) en (Urquijo, 2007). Así, Sen eligió el término «capacidades» para representar las distintas combinaciones alternativas que una persona puede hacer o ser, es decir, lo que más tarde llamará los funcionamientos que se pueden lograr (Sen,1993: 30) en (Urquijo, 2007).
El enfoque de las capacidades es usado para evaluar varios aspectos del bienestar individual, los grupos y la sociedad, tales como la desigualdad, la pobreza, la ausencia de desarrollo, la calidad de vida. Asimismo, puede ser usado como una herramienta para diseñar y evaluar políticas públicas de organizaciones gubernamentales o no‐gubernamentales. Sobre este aspecto Sen afirma que “la perspectiva de la capacidad no es un conjunto de fórmulas mecánicas, sino un marco [framework] para el análisis de la información, el escrutinio crítico y los juicios reflexionados” (Sen, 1996: 117) en (Urquijo, 2007). En este sentido el enfoque no es una teoría que explique la pobreza, la desigualdad o el bienestar, lo que sí ofrece es una herramienta o un marco normativo pero, a su vez, crítico dentro del cual conceptualizar y evaluar estos problemas sociales (Robeyns, 2005: 94) en (Urquijo, 2007). El núcleo de esta evaluación desde el enfoque de las capacidades se centra en lo que los individuos son capaces de hacer y de ser, es decir, en sus capacidades.
La principal crítica a este enfoque de Sen la realiza la filósofa Martha Nussbaum pues según ella, este enfoque resulta poco objetivo y ambiguo al no enunciar una serie de capacidades básicas que permitan evaluar problemas propios del bienestar de los individuos en cualquier contexto social. Sin embargo, a pesar de esta crítica, Nussbaum es una de las mayores protagonistas teóricas del enfoque de las capacidades junto a Sen y a diferencia de éste autor, enuncia un grupo de capacidades que considera necesario tener en cuenta a la hora de medir el bienestar.
III. La investigación del bienestar social en Cuba
Desde el triunfo de la Revolución la atención a los problemas sociales tuvo una alta prioridad en Cuba. De hecho el desarrollo se concibió como un proceso integral entre lo económico y lo social, a partir de considerar que el simple crecimiento económico, sin progreso y justicia social, no conduciría a un verdadero desarrollo, ni permitiría alcanzar las objetivos sociales a que se aspiraba.
En la actualidad como resultado de la crisis y reforma que atraviesa el país se crea un escenario de reestratificación social, de expansión de desigualdades sociales en los ámbitos más diversos y se altera el tipo de vínculo socialismo‐igualdad establecido con anterioridad. Este entorno condiciona que se amplíe el eje temático y multidisciplinar del estudio del bienestar y la desigualdad en Cuba, por lo que aparecen varias áreas que se entrecruzan y con ellas importantes investigaciones entre las que se pueden mencionar:
√ Estudios de pobreza y marginalidad: (Añé L., 2007); (Rodríguez P., et al, 2004); (Ferriol A. citado por Menéndez M., 2003).
√ Estudios de política social: (Espina M.P., 2008) (CEPAL, INIE, PNUD, 2004); (Ferriol A., 2004); (Pérez V., 2000).
√ Mediciones del Índice de Desarrollo Humano y otros índices de desarrollo socioeconómico: (PNUD, 2007‐2008); (Méndez y Lloret, 2005); (Becerra, F.A., 2003); (López C., 2001); (Perón E., 2001); (Martínez O. et al, 2000).
√ Estudios sobre dimensiones subjetivas y culturales del bienestar y desigualdad: (Oramas A., Santana S. y Vergara A., 2007); (Zabala M.C. y Morales E., 2004);
√ Estudios integrados sobre el proceso de reestratificación: (Pérez V., 2008); (Espina R. y Rodríguez P., 2004); (Espina et al., 2002); (Iñiguez L., 2004).
Sin embargo, los autores consideran que a pesar de los avances y aportes de estos estudios los análisis sobre bienestar, desigualdad, pobreza y otros conceptos relacionados deberán perfeccionar aún más sus instrumentos y superar debilidades. Ellas son, en primer lugar que la gran mayoría de estos estudios han sido enfocados sobre la base de análisis globales entre países, provincias o regiones y en algunos casos a nivel municipal y esto puede ocultar posibles desequilibrios en áreas de menor tamaño. La mayoría de estos carecen de indicadores de percepción que son los que miden aspectos subjetivos del bienestar y la desigualdad; otra limitación es un excesivo empirismo y una visión aún parcial donde no se ha logrado producir un horizonte lo suficientemente integrado del bienestar y la desigualdad que articule todas sus dimensiones (medio ambiente, gobernabilidad, renta, salud, educación, ocio, entre otros).
El análisis y revisión de estos estudios demostró la necesidad, en los momentos actuales, de buscar nuevas formas mas integradoras de medirlo de manera que aporte la información suficiente para la formulación de políticas sociales que contribuyan a elevar el bienestar de la sociedad y de servir de guía para el seguimiento y control de las mismas.
A continuación se explica, a criterio de los autores, el procedimiento propuesto para la medición del bienestar social aplicable a las condiciones actuales de la economía cubana.
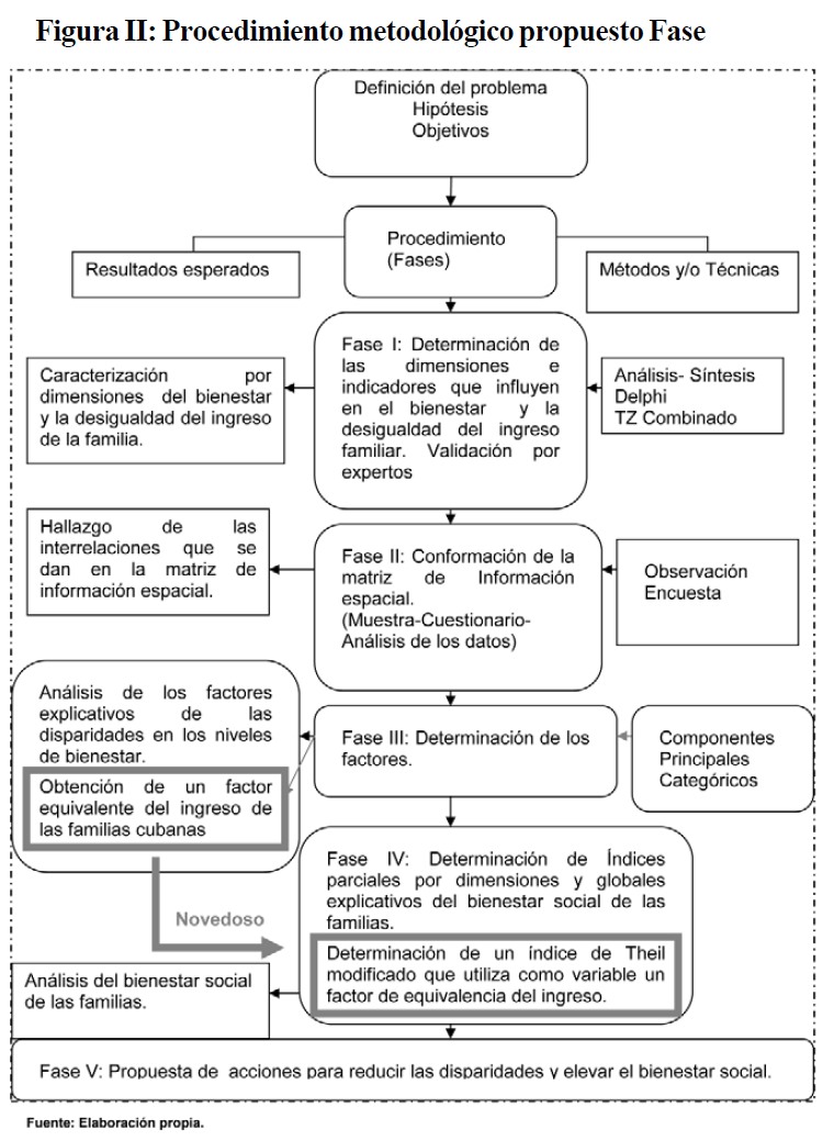
IV. Procedimiento metodológico propuesto para la medición y análisis del bienestar social de las familias en Cuba
Varios autores han expuesto diferentes fases de operacionalizar conceptos para así poder captar la información necesaria y realizar la medición, pero el más reconocido mundialmente es el expuesto por Lazarsfeld, el que se muestra a continuación:

Siguiendo la línea expuesta por Lazarsfeld los autores proponen el procedimiento metodológico que se muestra en la Figura II para llevar a cabo la medición del bienestar social en Cuba.

I: Determinación de las dimensiones e indicadores que influyen en el bienestar social. Validación por expertos
Esta constituye la fase inicial del procedimiento metodológico propuesto y a criterio de los autores una de las fases de mayor importancia, pues de la calidad con que se efectué la selección de las dimensiones e indicadores dependerán los resultados finales y los análisis correspondientes que de él se deriven. Se recomienda para el desarrollo de la misma consultar las propuestas de dimensiones e indicadores referidas en el epígrafe II; las investigaciones desarrolladas por autores cubanos, que fueron citadas en el epígrafe III; así como el reporte elaborado recientemente por la Comisión para la Medición del Desarrollo Económico y el Progreso Social dirigida por Stiglitz y donde participaron además Sen, Fitoussi y un gran número de reconocidos investigadores internacionales en el tema8.
Como resultado de este análisis se elaboró una propuesta inicial de dimensiones e indicadores adecuada a las condiciones actuales de la economía cubana que debe ser validada por expertos9, recomendándose para ello la utilización del método Delphi.
Fase II: Conformación de la matriz de Información espacial
(Muestra‐Cuestionario‐Análisis de los datos)
La elaboración de cualquier índice que trate de medir el bienestar y la desigualdad de un colectivo exige de un proceso de recogida de información muy amplio, ya que son muchas las variables, tanto de naturaleza cuantitativa como cualitativa, que influyen en el bienestar social y la desigualdad del ingreso de las familias.
Una de las mayores dificultades que enfrenta un estudio de este tipo en Cuba es la del acceso a la información cuantitativa necesaria. Aunque el país cuenta con un Sistema de Información Estadística Nacional (SIEN)10, muy completo y bien estructurado, organizado a través de la Oficina Nacional de Estadísticas, que elabora un anuario estadístico abierto –en el que se incorporan varias categorías sociales y económicas útiles para estos propósitos–, existe un conjunto de informaciones de gran significado para el análisis de bienestar que no son de acceso público, especialmente todo lo concerniente a las encuestas de hogares, ingresos personales, familiares y el balance de recursos laborales.
Por tales motivos los autores consideran necesario diseñar una encuesta11, y que constituya ésta la fuente fundamental de información. Como toda encuesta, esta debe ser sometida a una prueba preliminar o piloto para comprobar posibles errores en la formulación de las preguntas y corregir escalas de medición, entre otros aspectos. Además debe medirse su confiabilidad, para lo cual se sugiere el criterio del Alpha de Cronbach, y la validez de contenido utilizando para ello criterios de expertos.
Para desarrollar esta fase se recomienda enmarcar el estudio a un territorio y seleccionar una muestra representativa de familias utilizando para ello la técnica de muestreo que resulte más conveniente para cada caso.
Otro aspecto a considerar es la organización de los datos. Estos pueden adoptar formas diferentes en los análisis regionales, sin embargo, comúnmente en los problemas de investigación científica se observa que la estructura está compuesta por: la forma tripartita de los datos, los elementos del análisis y las denominadas características o indicadores.
Para el análisis de los datos se recomienda la utilización del paquete estadístico SPSS versión 15.0 y el cálculo de las principales medidas descriptivas, correlaciones, entre otras. Esto permitiría detectar posibles errores y omisiones a la hora de introducir los datos en la matriz de información espacial.
Fase III: Determinación de los factores
Posteriormente aplicando el método de componentes principales categóricos12 es posible obtener los factores explicativos del bienestar y la desigualdad del ingreso en las familias. Estos factores sirven de base para el cálculo de los índices propuestos, ya sean parciales por dimensiones o globales. El análisis de los mismos permite además obtener un factor equivalente del ingreso de las familias cubanas, el cual se utilizará como variable para el cálculo del índice de Theil propuesto.
Fase IV: Determinación de Índices parciales por dimensiones y globales explicativos del bienestar social de las familias
Teniendo en cuenta los resultados obtenidos en la fase anterior, se propone determinar índices parciales por dimensiones, globales y la determinación de un índice de Theil modificado que utiliza como variable un factor de equivalencia del ingreso.
Fase V: Propuesta de acciones para reducir las disparidades existentes y elevar el bienestar social
Para el desarrollo de esta fase se parte de los resultados y análisis obtenidos en las dos fases anteriores, esto permite la elaboración de una propuesta de acciones encaminada a la reducción de las desigualdades existentes en las familias del territorio objeto de análisis que contribuya a elevar su bienestar social.
Conclusiones
El procedimiento metodológico propuesto para la medición del Bienestar Social de las familias en Cuba, integra el enfoque de los indicadores sociales con el enfoque de la desigualdad del ingreso. La solución propuesta por los autores a la compleja realidad que es objeto de medición se realiza utilizando técnicas estadísticas multivariables y especialmente el método de Componentes Principales Categórico, (CATPCA) por sus bondades para el análisis integrado de varias dimensiones que incluyen indicadores objetivos y subjetivos.
Los autores consideran que la variable ingreso total no es pertinente para efectuar una medición razonable del bienestar y la desigualdad en las complejas condiciones en que se desarrolla la economía cubana, por lo que mediante un procedimiento metodológico enmarcado en cinco fases, proponen determinar un índice de Theil modificado utilizando una variable cuantitativamente nueva y explicativa de aspectos cualitativos, la que a su vez actúa como un factor de equivalencia al ingreso o la renta de las familias.
Notas
- arias definiciones en torno al concepto de bienestar social, aportadas por diferentes autores e instituciones internacionales, pueden ser consultadas en los textos: “Aproximación a la medición del Bienestar Social” y “La calidad de vida en los municipios de la provincia de Valladolid” de la doctora Pilar Zarzosa Espina, ambos referidos en la bibliografía de este artículo. (Zarzosa, 2005, 1996).
- Función de utilidad: Es un instrumento para asignar un número a todas las cestas de consumo posibles de tal forma que las que se prefieren tengan un número más alto que las que no se prefieren. Es decir, la cesta (x1, x2) se prefiere a la (y1, y2) si y solo si la utilidad de la primera es mayor que la utilidad de la segunda; en símbolos, (x1, x2)> (y1, y2) si y solo sí u(x1, x2)>u (y1, Y2). (Varian, 2005: 55).
- Un análisis más detallado de este enfoque aparece en (Zarzosa, 1996: 22‐30).
- Los autores recomiendan para comprender cómo han evolucionado los sistemas de cuentas nacionales, consultar el texto de Almagro Vázquez, Francisco: Principios sobre la medición Macroeconómica, los Sistemas de Balances y las Cuentas Nacionales, Comité Estatal de Estadística, La Habana 1991 y Colectivo de autores: Contabilidad Nacional, Editorial Félix Valera, La Habana 2004.
- Para mas detalles de este enfoque consultar la obra “Aproximación a la medición del bienestar social” de Pilar Zarzosa de la página 30‐35.
- Un análisis más detallado aparece en la obra “Aproximación a la medición del Bienestar Social”, ya referida anteriormente. Páginas: 51‐62.
- Ibidem; pág. 33‐35.
- Dicha comisión fue creada en el 2008 a petición del presidente Nicholas Sarkozy con el objetivo de establecer los límites del indicador PNB como medida del desarrollo y el Progreso Social. Como resultado de estos análisis se definen un conjunto de dimensiones que se deben considerar a la hora de medir el bienestar social y un grupo de consideraciones adicionales.
- Para la selección de los expertos y la medición del coeficiente de competencia se recomienda emplear un procedimiento que consta de varias etapas las que pueden consultarse en (Becerra, 2003).
- Este sistema para su funcionamiento cuenta con 15 oficinas provinciales y 168 municipales, las que se encargan de la captación, revisión, procesamiento, análisis y publicación de los resultados e indicadores, para la medición de la evolución demográfica y social de la población y los hogares a cada nivel y a su vez del estudio, implementación y difusión de indicadores sociales, entre ellos alternativas, que denotan el bienestar de los cubanos a nivel local y por regiones, un ejemplo de ello lo constituyen “Los Objetivos de Desarrollo del Milenio (ODM), para la región Oriental, publicados por la Oficina Nacional de Estadísticas este año. (Pifferrer, G. y Alfonso, J.C.; 2009)
- Para el diseño de la encuesta, además de los cuestionarios referidos anteriormente se recomienda la consulta de las encuestas “Estudio de familias en el espacio” elaborada por Luisa Iñiguez y Mariana Ravenet, CESBH/UH/ 1999 y la encuesta “Estudio sobre la calidad de vida subjetiva en la provincia de Valladolid” elaborada por Pilar Zarzosa, (Zarzosa, 2005).
- Análisis categórico de componentes principales (CATPCA) emplea escalamiento óptimo para generalizar el procedimiento de análisis de componentes principales, de manera que se puedan acomodar variables de niveles de medida mixtos. Es un análisis similar al análisis de correspondencias múltiples, sólo que le permite especificar un nivel de análisis variable por variable. Es un método que opera en dos etapas, combinadas en un proceso iterativo. En la primera de ellas se construye una variable numérica correspondiente a la variable categórica inicial, en la cual cada categoría recibe un valor numérico, seleccionado mediante un proceso de optimización matemática, que maximiza la covarianza conjunta de las variables que componen el índice. En la segunda etapa se elabora el índice a partir de las “proxy” cuantitativas de las variables categóricas, siguiendo el método clásico de los componentes principales. Tomado de http://www.paho.org/Spanish/HPP/HPN/larrea-cap2.pdf
Bibliografía
1. Almagro, F. (1991). Principios sobre la medición Macroeconómica, los Sistemas de Balances y las Cuentas Nacionales. Comité Estatal de Estadística, La Habana.
2. Añé, L. (2007, Agosto 22‐23). Desigualdad‐Pobreza‐Vulnerabilidad: Un enfoque integrado de la capital. Ponencia presentada en el Seminario Internacional “Distribución, equidad y políticas económicas nacionales en la era de la Globalización. Evaluación comparada de experiencias nacionales”, Buenos Aires, Argentina.
3. Becerra, F.A. (2003). Evolución del desarrollo socioeconómico a escala territorial: El caso de la provincia de Cienfuegos. Tesis Doctoral, Universidad de Cienfuegos, Cuba.
4. Boltvinik J. y Hernández E. (2000). Pobreza y distribución del ingreso en México: Siglo XXI Editores México. (2). P. 30-80.
5. CEPAL, INIE, PNUD (2004). Política social y reformas estructurales: Cuba a principios del Siglo XXI. Naciones Unidas.
6. Colectivo de autores (2004). Contabilidad Nacional. Editorial Félix Valera, La Habana.
7. Di Filippo, M.S. y Mathey, D. (2008). Los indicadores sociales en la formulación de proyectos de desarrollo con enfoque territorial. Documento de trabajo N°2. (1) Buenos Aires: Inst. Nacional de Tecnología AgropecuariaINTA: Programa Nacional de Apoyo al Desarrollo de los Territorios, 44p.
8. Espina, M. (2008, Mayo 27‐29). Desigualdad y política social en Cuba hoy. Ponencia presentada a la Conferencia “The future of social justice in Cuba”, Bellagio Conference Center, CIPS, Cuba.
9. Espina, M. (2008). Viejas y nuevas desigualdades en Cuba. Ambivalencias y perspectivas de la reestratificación social. Revista Nueva Sociedad, (216), julio‐agosto.
10. Espina, M. y Rodríguez P. (2004). Raza y Desigualdad en la Cuba actual. Ponencia presentada al taller “Pobreza y Política Social en Cuba. Los retos del cambio económico y social”, Centro de Estudios Latinoamericanos David Rockefeller, Universidad de Harvard y Centro de Investigaciones Psicológicas y Sociológicas, la Habana, Cuba.
11. Espina, M. et al. (2002). Componentes socio estructurales y distancias sociales en la ciudad. Mimeo, Centro de Investigaciones Psicológicas y Sociológicas, La Habana, Cuba.
12. Ferriol, A. (2004). Política Social y Desarrollo. Una aproximación global. En CEPAL, INIE y PNUD (Eds), Política Social y Reformas Estructurales: Cuba a Principios del Siglo XXI. México: Naciones Unidas.
13. Ferriol, A. (2003). Ingresos y desigualdad de la sociedad cubana actual. En M. Menéndez (compilador), Los cambios en la estructura socioclasista en Cuba. La Habana: Ciencias Sociales.
14. Iñiguez, L. (2004). Desigualdades espaciales en Cuba. Entre herencias y emergencias. Mimeo, Centro de Estudios de Salud y Bienestar Humano, La Habana.
15. Iñiguez, L. y Ravenet, M. (1999). Desigualdades espaciales del bienestar en Cuba. Mimeo, Centro de Estudios de Salud y Bienestar Humano, La Habana.
16. López, C.M. (2001). Desarrollo Humano: Concepto y Medición. Revista de Salud Pública y Nutrición. 2(3), Julio- Septiembre.
17. Martínez, O. et al. (2000). Investigación sobre Desarrollo Humano en Cuba. La Habana: Caguayo.
18. Méndez, E. y Lloret, M.C. (2005). Índice de Desarrollo Humano a nivel territorial en Cuba. Período 1985‐2000. Revista Cubana de Salud Pública. 31(2).
19. OCDE. (1985). Indicadores sociales, Lista OCDE. Madrid: Ministerio de Trabajo y Seguridad Social. (Original en Inglés, 1982).
20. Oramas, A.; Santana, S. y Vergara A. (2007). El Bienestar Psicológico, un indicador positivo de la salud mental. Revista Cubana de Salud y Trabajo. 7(1‐2), 34‐39.
21. Pena, J. B. (1977). Problemas de la Medición del Bienestar y Conceptos Afines: Una Aplicación del Caso Español. Madrid.
22. Pérez, V. (2008). La economía en Cuba: un balance necesario y algunas propuestas de cambio. Revista Nueva Sociedad, (216).
23. Pérez, V. (2000). Ajuste económico e impactos sociales. Los retos de la Educación y la Salud Pública en Cuba. Revista Cuba Investigación Económica, 6(1).
24. Perón, E. (2001). Un esquema analítico para la fundamentación de la estrategia de desarrollo social a escala territorial. Tesis Doctoral, Universidad de Camagüey, Cuba.
25. Pifferrer, G. y Alfonso, J.C. (2009). Acerca de la medición del Bienestar en Cuba. Revista Cuadernos de Estudios de Población CEPDE/ONE, 8(2),10.
26. PNUD (2007‐2008). Informe sobre Desarrollo Humano. La lucha frente al cambio climático: Solidaridad frente a un mundo dividido. Madrid: Mundi Prensa. S.A.
27. Robeyns (2005) “The Capability Approach: a theoretical survey,” Journal of Human Development, 6 (1), 93‐114
19. Rodríguez, P. et al. (2004) ¿Pobreza, marginalidad o exclusión?: Un estudio sobre el barrio Alturas del Mirador. Mimeo, Centro de Antropología, La Habana.
20. Sánchez, I.R. y Figueroa, V. (2004). Marxismo y pensamiento neoclásico en torno al enfoque social de la inversión. En R. Sánchez (Coord.), La Economía Política Marxista. Reflexiones para un debate (pp.175‐219). La Habana: Editorial Félix Varela.
21. Sen, A. (1998). El bienestar, la condición de ser agente y la libertad. En Conferencias Dewey de 1984. Bienestar, justicia y mercado. Barcelona: Paidós.
22. Sen, A. (1996) “Freedom, Capabilities and Public Action: A Response,” en Notizíe di Políteia, 12, 107‐125.
23. Sen, A. (1993) “Capability and Well‐being,” en Nussbaum and Sen (1993) (eds) The Quality of Life. Oxford, Clarendon Press. [Traducción de Reyes, R. (2002) Nussbaum y Sen (eds) La calidad de vida. Tercera reimpresión, México, Fondo de Cultura Económica.]
24. Sen, A. (1982) Choice, Welfare and Measurement. Oxford, Blackwell. Stiglitz. J., Sen.A., Fitoussi,J.P, et.al., (2009). Reporte de la Comisión para del Desarrollo Económico y del Progreso Social en: http://www.embafranciaargentina.org/IMG/pdf/Commission_Stiglitz_ES.pdf
25. Urquijo, M.J. (2007). El enfoque de capacidades de Amartya Sen. Alcance y Límites. Tesis Doctoral, Universitat de Valencia. Servei de Publicacions.
26. Varian, H. (2005). Microeconomía Intermedia un enfoque moderno. La Habana: Editorial Félix Varela. T (1).
27. Zabala, M.C. y Morales, E. (2004). Desigualdades sociales: dimensión subjetiva en el escenario urbano capitalino. En L. Iñiguez y O. Pérez Heterogeneidad social en la Cuba actual, Mimeo, Centro de Estudios de Salud y Bienestar Humano, La Habana.
28. Zarzosa, P. (2005). La calidad de vida en los municipios de la provincia de Valladolid. España: Diputación Provincial de Valladolid.
29. Zarzosa, P. (1996). Aproximación a la medición Bienestar Social. España: Secretariado de Publicaciones de la Universidad de Valladolid.