Ciencia y Salud, Vol. 8, No. 1, enero-marzo, 2024 • ISSN (impreso): 0378-7680 • ISSN (en línea): 2613-8751 • Sitio web: https://revistas.intec.edu.do/
DOI: https://doi.org/10.22206/cysa.2024.v8i1.2758
Sterling Féliz1, Matilde Peguero2, Gabriela García Segura3, Luis Pérez Méndez4, Norma Marlene Pérez5, Kenia Torres6, Lucia Bayona7
1 Gastroenterólogo, Hospital General Plaza de la Salud. ORCID: https://orcid.org/0000-0002-9122-600X, email: sterlingfeliz@gmail.com
2 Salubrista Epidemióloga. Doctora en Salud Pública. Directora de la Escuela de Salud Pública Universidad Autónoma de Santo Domingo. ORCID: https://orcid.org/0000-0001-6326-4124, email: mpeguero60@uasd.edu.do
3 Médico Pasante, Hospital General Plaza de la Salud. ORCID: https://orcid.org/0009-0007-5627-3592, email: gabrielagarciasegura@gmail.com
4 Gastroenterólogo - Hepatólogo, Hospital General Plaza de la Salud. ORCID: https://orcid.org/0009-0009-2521-2492, email: lperezm63@hotmail.com
5 Gastroenterólogo - Hepatólogo, Hospital General Plaza de la Salud. ORCID: https://orcid.org/0009-0005-8551-5568, email: marleneperfig@gmail.com
6 Gastroenterólogo - Hepatólogo, Hospital General Plaza de la Salud. ORCID: https://orcid.org/0009-0009-5918-5306, email: drakeniatorres@hotmail.com
7 Gastroenterólogo, Hospital General Plaza de la Salud. ORCID: https://orcid.org/0000-0003-4915-0766, email: luciabayona@yahoo.com
Recibido: 18 de febrero, 2023 • Aprobado: 9 de mayo, 2023
Cómo citar: Féliz S., Peguero M., García Segura G., Pérez Méndez L., Marlene Pérez N., Torres K., & Bayona L. (2024). Tabla de la normalidad de las pruebas psicométricas para el diagnóstico de encefalopatía hepática subclínica en la población dominicana. Ciencia y Salud, 8(1), 19–28. https://doi.org/10.22206/cysa.2024.v8i1.2758
Resumen
Introducción: La encefalopatía hepática mínima (EHM), es una enfermedad definida por la existencia de varias alteraciones neurofisiológicas, indetectables a la exploración neurológica y el examen clínico. Dentro de las estrategias diagnosticas para la EHM se contemplan las pruebas psicométricas (PHE), pero para su aplicación es indispensable la estandarización previamente en la población de estudio.
Objetivo: El estudio se propuso determinar la tabla de la normalidad de las PHE para diagnosticar la encefalopatía hepática subclínica en una muestra de la población dominicana.
Método: Se realizó un estudio descriptivo, prospectivo y transversal en un hospital de referencia nacional. Se analizaron 134 personas clasificados por grupos de edades (18-70 años de edad) y años de escolaridad. Se diseñó una tabla de 5x5. Se estudió la influencia de la edad, sexo, uso de espejuelo y de los años de escolarización en el rendimiento de cada uno de las PHE, para lo cual se utilizaron las siguientes pruebas estadísticas: análisis de varianza (ANOVA), prueba t de Student y regresión lineal.
Resultado: La escolaridad y la edad fueron variables determinantes en el desempeño de las 5 pruebas psicométricas. Pero, la correlación univariable de la edad con el desempeño de la prueba TMS no hubo diferencias intra e inter grupos estadísticamente significativas (p>0.171).
Conclusión: se confecciono la fórmula de predicción de resultados de los test psicométricos. Ninguno sobrepasó el punto de corte de la puntuación que oscila entre los -4 y los +2 puntos.
Palabras claves: Encefalopatía hepática, encefalopatía subclínica, test psicométricos, diagnósticos encefalopatía, cirrosis hepática, psicometría.
Abstract
Introduction: Minimal hepatic encephalopathy (MHE) is a disease defined by the existence of several neurophysiological alterations, undetectable by neurological examination and clinical examination. Among the diagnostic strategies for EHM, psychometric tests (PHE) are contemplated, but for their application, prior standardization in the study population is essential.
Objective: The study will need to determine the normality table of PHE to detect subclinical hepatic encephalopathy in a sample of the Dominican population.
Method: A descriptive, prospective and cross-sectional study was carried out in a national reference hospital. 134 people classified by age groups (18-70 years of age) and years of schooling were analyzed. A 5x5 board is recommended. The influence of age, sex, use of glasses and years of schooling on the performance of each one of the PHEs was studied, for which the following statistical tests were used: analysis of variance (ANOVA), Student's t test and linear regression.
Result: Schooling and age were determining variables in the performance of the 5 psychometric tests. But, the univariate coincidence of age with the performance of the TMS test, there were no statistically significant intra and inter group differences (p>0.171).
Conclusion: the formula for predicting the results of the psychometric tests was made. None exceeded the cut-off point of the score that oscillates between -4 and +2 points.
Keywords: Hepatic encephalopathy, subclinical encephalopathy, psychometric tests, encephalopathy diagnoses, liver cirrhosis, psychometrics.
La Encefalopatía Hepática Mínima (EHM) es una condición clínicamente indetectable donde no existen evidencias de alteraciones durante la exploración neurológica y el examen clínico1-3. La presentación subclínica en encefalopatía hepática (EH) hace que sea importante el reconocimiento y abordaje terapéutico anticipado para el buen pronóstico de estos pacientes.
Las estrategias de diagnóstico en la EHM, se clasifica en dos tipos principales: pruebas psicométricas y neurofisiológicas4. Actualmente, la primera línea para diagnóstico de EHM se realiza utilizando pruebas psicométricas (PHES)5, (siglas en inglés: Psychometric Hepatic Encephalopathy Score). En personas no letradas se puede recurrir al electroencefalograma, potenciales evocados (PE) y la medición de frecuencia crítica de parpadeo4.
Las pruebas PHES es la más ampliamente usada; fueron desarrolladas inicialmente en 20016. Las PHES mide distintas funciones cognitivas complejas: atención, precisión, destrezas de trabajo y orientación visual.
No hemos encontrado en la literatura, investigaciones que hayan determinado la fórmula de predicción de resultados de los test psicométricos para el diagnóstico de EHM en la población dominicana.
De manera que, esta investigación analiza normalidad de las pruebas psicométricas utilizadas para diagnóstico de EHM en una muestra de la población dominicana.
Se realizó un estudio descriptivo, prospectivo y transversal en un hospital de referencia nacional. La muestra se diseñó para distribución homogénea según grupos de edades (18-70 años de edad) y años de escolaridad.
Previamente firmado el consentimiento informado de cada paciente, los datos se recolectaron por medio de entrevistas directas, siguiendo la metodología de Romero et al7 y Padilla et al8.
Los datos se codificaron en una planilla creada en Microsoft Office Excel versión 2016. La tabulación de datos se realizó electrónicamente utilizando el programa estadístico IBM SPSS Statistics v21. Se estudió la influencia de la edad, sexo y de los años de escolarización en el rendimiento de cada uno de las 5 pruebas psicométricas, para lo cual se utilizaron las siguientes pruebas estadísticas: análisis de varianza (ANOVA), prueba t de Student y regresión lineal.
Se analizaron 134 personas de edades comprendidas: 18 a 70 años (Grafico 1). La escolaridad y el grado académico fueron variables determinantes al momento de demostrar mejor desempeño en la realización de las 5 pruebas psicométricas, de acuerdo al análisis estadístico ANOVA. Excepto con la edad, se observó que no hubo diferencias intra e inter grupos estadísticamente significativas en el desempeño de la prueba TMS (p>0.171) (Grafico 2).
Gráfico 1. Distribución de la muestra de acuerdo al nivel de escolaridad y los años cumplidos

Gráfico 2. Análisis ANOVA para las pruebas psicométricas comparadas con la edad de los individuos de estudios
ANOVA de un factor (Edad) |
||||||
Suma de cuadrados |
gl |
Media cuadrática |
F |
Sig. |
||
TSN |
Inter-grupos |
2143.267 |
4 |
535.817 |
5.400 |
.000 |
Intra-grupos |
12801.248 |
129 |
99.234 |
|||
Total |
14944.515 |
133 |
||||
TLQ |
Inter-grupos |
8427.339 |
4 |
2106.835 |
2.973 |
.022 |
Intra-grupos |
91425.743 |
129 |
708.727 |
|||
Total |
99853.082 |
133 |
||||
TCN-A |
Inter-grupos |
17610.484 |
4 |
4402.621 |
4.646 |
.002 |
Intra-grupos |
122230.890 |
129 |
947.526 |
|||
Total |
139841.373 |
133 |
||||
TMS |
Inter-grupos |
2536.001 |
4 |
634.000 |
1.628 |
.171 |
Intra-grupos |
50224.305 |
129 |
389.336 |
|||
Total |
52760.306 |
133 |
||||
TCN-B |
Inter-grupos |
165804.279 |
4 |
41451.070 |
5.339 |
.001 |
Intra-grupos |
1001612.147 |
129 |
7764.435 |
|||
Total |
1167416.425 |
133 |
||||
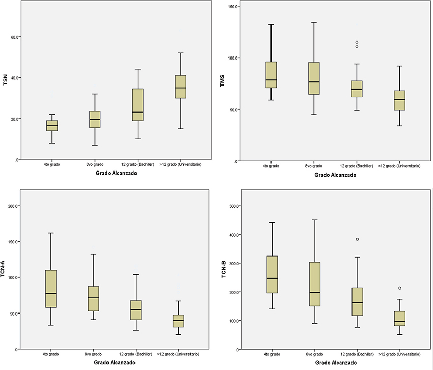
En términos generales, el rendimiento y las variaciones de las pruebas psicométricas en relación con la edad fue mejor mientras menos años tenía la persona. De igual manera, mientras mayor era el grado de escolaridad alcanzado, mejor desempeño las pruebas psicométricas comparando primaria, secundaria y superior (Grafico 3).
Gráfico 3. Desempeño de las diferentes pruebas psicométricas de acuerdo a la escolaridad

TSN: test de símbolos y números. TLQ: test de línea quebrada. TCN-A: test de conexión numérica A. TMS: test de marcado seriado. TCN-B: test de conexión numérica B.
El sexo femenino fue levemente predominante en nuestro estudio con 53% de los individuos estudiados. La distribución del sexo de acuerdo a la edad de los mismos fue similar en todos los grupos. No hubo relación estadísticamente significativa (p>0.05) con el sexo y el éxito de las pruebas psicométricas.
Finalmente, se calculó la desviación estándar (DE) de cada prueba psicométrica. Esto permitió determinar la fórmula de predicción de resultados (Grafico 4). Se hace la salvedad que la edad en el análisis ANOVA, para el test TMS, no fue una variable estadísticamente significativa, por tal razón la formula final no se considera la edad como variable predictiva.
Gráfico 4. Formula de predicción de resultados para el cálculo de puntuación en los test psicométricos incluidos en PHES
Test |
DE |
Fórmula |
TNS |
10.6 |
24.351- (edad x 0.216) + (1.636 x escolaridad) |
TLQ |
27.40 |
100.513 + (edad x 0.489) – (2.611 x escolaridad) |
TCN-A |
32.42 |
73.152 + (edad x 0.697) – (4.310 x escolaridad) |
TCN-B |
93.68 |
228 + (edad x 1.998) – (14.522 x escolaridad) |
TMS |
19.91 |
83.310 - (2.099 x escolaridad) |
DE: desviación Estándar, TSN: test de símbolos y números. TLQ: test de línea quebrada. TCN-A: test de conexión numérica. A. TMS: test de marcado seriado. TCN-B: test de conexión numérica B. p<0.05.
Las investigaciones en pruebas psicométricas para diagnóstico de EHM en países hispanoparlantes como los son Cuba, Perú, México y España8-11 no pueden ser traspalados a la población dominicana debido a las condiciones inherentes de cada país. Además, no debemos olvidar que varias investigaciones han demostrado que la Republica Dominicana posee uno de los peores índices de calidad en la educación en comparación con los demás países del caribe y Latinoamérica (estudios TERCE, 2015 y SERCE 2006 realizados por el Laboratorio Latinoamericano de Evaluación de la Calidad de la Educación (LLECE) de la ONU para la educación, Ciencia y la Cultura: UNESCO.**
En nuestro estudio, se pudo completar la tabla diseñada por edad y escolaridad en todos los niveles, contrario a otros estudios donde la alta de alfabetización en la población impidió completar la tabla de distribución7-8. Se resalta que la edad no fue estadísticamente significativa en nuestro estudio con la prueba TMS, consideramos que se debe ampliar el muestreo a otras regiones del país para diversificar la misma y determinar el efecto real de ambas variables en el TMS.
Las baterías de los test psicométricos son de fácil aplicabilidad y sensibles en la evaluación de dichas alteraciones12-13, 15. Ahora bien, han existido diferencias en la variabilidad para elaborar la fórmula de predicción de resultados en los países con previa estandarización de los PHES5-8, 12, 21. Por esta razón, coincidimos con Alexandru y colaboradores5, al considerar que los estudios futuros deberían centrarse en comparar los datos de diferentes poblaciones en un esfuerzo por generar normas internacionales unitarias.
La dificultad de detectar clínicamente las alteraciones neuropsicológicas en la EHM, motiva a utilizar las pruebas psicométricas, las cuales se fundamentan en la base de un cribado y diagnóstico de la EHM. Pero, es indispensable la estandarización previamente en la población de estudio ya que el grado académico y la edad de los individuos pueden afectar desempeño pruebas.
En base a los puntos de cortes de nuestra formula de predicción, los datos normales deben oscilar entre los -4 y los +2 puntos.
Los autores manifiestan que no tienen conflicto de interés.
1. Allampati S, Duarte-Rojo A, ThackerL, Kavish R. Patidar, White M, et al. Diagnosis the Minimal Hepatic Encephalopathi Using Stroop Encephal App: A Multicenter US-Based, Study. Am J Gastroenterol. 2015.
2. Amodio P, Campagna F, Olianas E, LannizziE, Mapelli D, Penzo M, et al. Detection of the minimal hepatic encephalopathy: Normalization and optimization of the Hepatic Psychometric Encephalopathy Scor. A neuropsychologica and quanti EEG study. Journal of Hepatology. 2008; 49: 346–353.
3. Ridolaa L, Cardinalea V, Riggiob O. The burden to minimal hepatic encephalopathy: to the diagnosis of therapeutic strategies. Ann Gastroenterol. 2018; 31(2): 151-164.
4. Guía de Práctica Clínica Diagnóstico y Tratamiento de Encefalopatía Hepática en el Adulto. México: Instituto Mexicano del Seguro Social. 2013.
5. Alexandru M, Vasile L, Dranga M, Gavrilescu O, Stefanescu G, Popa I, et al. Diagnosis of the minimal hepatic encephalopathy in tertiary care center from eastern Romania: validat the psychometrics hepatics encephalopathy score. Metab Brain Dis. 2016.
6. Weissenborn K, Ennen J, SchomerusH, RuckertN, HeckerH. Neuropsychological characterization the hepatic encephalopathy. Journal of Hepatology. 2001: 768–773.
7. Romero M, Córdobab J, Joverc R, Olmod J, Fernándeze A, Montse F, Compañy A, Povedac MJ, Vicente Felipof V. Tablas Normalidad de la Población de España para los Tests Psicométricos Utilizando en el Diagnóstico de Encefalopatía Hepática Mínima. Med. Clin.Barc. 2006;127(7): 246 – 9.
8. Padilla Ruiz MA. Tablas normalidad de la población Cuba para los exámenes psicométricos utilizados para diagnóstico de encefalopatía hepática mínima. Rev Gastr Perú. 2016; 36(1): 29-34.
9. Duarte-Rojo A, Estradas J, Hernández J, Ponce S, Cordoba J, Torre A.. Validation of the Psychometric.Hepatic Encephalopathy Score to Identifying Patients with Minimal.Hepatic Encephalopathy. Dig Dis Sci. 2011; 56: 3014–3023.
10. Jover M, Hoyas E, Grande L, Romero-Gómez M. Encefalopatía Hepática Mínima. Rev Gastr, Mex. 2009; 74(1).
11. Abanto G, Gutiérrez G, León M. Rendimiento del encephalapp stroop test vs el score psicométrico en el diagnóstico de EHM en un hospital nacional Lima, Perú. Exploración de factores asociados al rendimiento. Univ Peruana Cayetano Her. Tesis para optar por el título: Cirujano General. 2019.
12. Pinho M, Cerqueira R, Peixoto B. Encefalopatía hepática na população portuguesa, Act Med Port. 2011; 24(2): 319-326.
13. Weissenborn K. Psychometric tests fto diagnosing of minimal hepatic encephalopathy. Metab Brain Dis. 2013; 28: 227–229.
14. Flamm SL. Covert Hepatic Encephalopathy Whom Should Be Test and Treated. Clin Liver Dis. 2015.
15. Suraweera D, Sundaram V, Saab S. Evaluation and Management of Hepatic Encephalopathy. Gut and Liver. 2016; 10(4).
16. Gupta D, Meghraj I, Kaivan S, Aniruddha P, Prabha S. Prospectiv comparative study to inhibitory control test at psychometric hepatic encephalopathy and score for diagnosis and prognosis of the minimal hepatic. encephalopathy in the cirrhotic patients in the Indian subcontinent. Journal of Digestive Diseases. 2015; 16.
17. Morgan MY, Amodio P, Cook NA. Qualifying and quantifying minimal hepatic encephalopathy. Metab Brain Dis. 2016; 31(6): 1217–1229.
18. Elliot B. Tapper, Neehar D. Parikh, et al. Diagnosis to the Minimal Hepatic Encephalopathy: A Systematic Reviewe Point-of-Care Diagnostic Test. Am J Gastr. 2018; 113.
19. Montagnese S, et al. Impact to the Hepatic Encephalopathy in the Cirrhosis on Qualityof-Life Issues. Drugs. 2019.
20. Pérez Matos MC, Jiang ZG, Tapper EB. Factors to affect results at the psychometric test to identify patient with minimal hepatic encephalopathy. Clin Gast Hepatol. 2018; 16(11): 1836-1838.
21. Ji-Yao W, Ning-Ping Z, Bao-Rong Chi, Yu-Qing Mi, Li-Na M, Ying-Di Liu, Jiang-Bin Wang. Prevalence the minimal hepatic encephalopathy and quality life evaluations in hospitalize cirrhotic patients in China. World J Gast. 2013;1 9(30): 4984-4991.
22. Su-Wen L, Kai W, Yong Qiang, Hai-Bao W, Yuan-Hai L, Jian-Ming X. Psychometric hepatic encephalopathy score to diagnosis minimal hepatic encephalopathy in the China. World J Gastr. 2013; 19(46): 8745-8751.
23. Montagnese S, Balistreri, Schiff S, De Ruiz M, Angeli P, Zanus G, et al. The Covert hepatic encephalopathy: Agreemen and predictiv validity of the different indices.World J Gast. 2014; 20(42): 15756.
24. Cortés L, Córdoba J. Encefalopatía Hepática. Práctica Clínica en Gastroenterología y hepatología, Ed. CTO, España. 2016.

Tabla 1. Ecuaciones de regresión.lineal múltiple para el cálculo de la puntuación en los test psicométricos incluidos en el PHES. La sumatoria final de los puntos permite diagnosticar la encefalopatía hepática mínima si es inferior a –4
Test |
Coeficiente |
DE |
Fórmula |
||
TSN |
0,73 |
10,45 |
TSN = 56,8-0.614 x edad + 1,317 x educación |
||
TCN-A |
0,48 |
21,30 |
TCN-A = 26,772 + 0.5% x edad - 1,519 x educación |
||
TCN-B |
0,56 |
44,74 |
TCN-B = 31,638 + 1,856 x edad - 2,809 x educación |
||
TMS |
0,30 |
23,30 |
TMS = 61,346 + 0,236 x edad - 1,279 x educación |
||
TLQ |
0,52 |
25,62 |
TLQ = 51,303 + 1,043 x edad - 0,99 x educación |
||
Introduciendo la edad y los artos de escola oración del paciente podemos calcular el resutado teórico que debería obtener en cada prueba. Posteriormente, calculamos la diferencia entre el valor obtenido en la prueba y el esperado y lo dmdimos por la DE (que se muestra en la tabla). De esta farma calculamos el número de DE que supera d resultado real del esperado, tanto en positfvo (buena realización del test) como en negativo (mala reahzación del test). Cada DE es 1 punto negatrvo y haremos el diagnóstico de encefalopatía hepática mínima cuando la puntuación sea inferor a -4 tras sumar las obtenidas en los 5 tests. |
|||||
Test |
PE |
Fórmula |
Resultado obtenido |
Resultado esperado |
Puntos |
TSN |
10.45 |
TSN = 56,8-0,614 x 50 + 1,317 x 10 |
9 |
39,3 |
(39,3 - 9)/10,45 = -2 |
TCN-A |
21,30 |
TCN-A = 26,772 + 0,596 x 50 - 1,519 x 10 |
122 |
41,4 |
(41,4 - 122)/21,3 = —3 |
TCN-B |
44,74 |
TCN-B = 31,638 + 1,856 x 50 - 2,809 x 10 |
160 |
96,3 |
(96,3 - 160)/44,74 = -1 |
TMS |
(23,30) |
TMS = 61,346 + 0,236 x 50 - 1,279 x 10 |
65 |
60,4 |
(60,4 - 65)/(23,3 = 0 |
TLQ |
(25,62) |
TLQ = 51,303 + 1,043 x 50 - 0,99v10 |
115 |
93,5 |
(93.5 - 115)/25,62 = 0 |
Total |
|
|
|
|
-6 |
Puntuación total: -6 puntos. Por tanto, el paciente presenta encefalopatía hepática minina. |
|||||
La edad y la educac¿n ve miden en anos. PHES Piychomeírc Mepatic Encephalopathy Se ore TSN test de símbolos y números- TCN-A t«tí de conexión rsumónca A TCN-B:test de conexión numínce 8; TMS test de marcado senado. TlQ test de la linea quebrada. Ot des.uctón estándar.
Fuente: Romero Gómez et al7.