Ciencia, Economía y Negocios, Vol. 9, enero-diciembre, 2025 ISSN (Impreso): 2613-876X • ISSN (En línea): 2613-8778
DOI: https://doi.org/10.22206/ciene.2025.v9.3328
LUIS EDUARDO MELLA GÓMEZ1
Recibido: 07/10/2024 • Aprobado: 10/11/2025
Cómo citar: Mella Gómez, L. E. (2025). Descentralización, instituciones, turismo y desigualdad: un análisis para Latinoamérica (1995-2018). Ciencia, Economía y Negocios, 9, 45-73. https://doi.org/10.22206/ciene.2025.v9.3328
Resumen
Este estudio analiza el impacto del turismo en la desigualdad de ingresos en América Latina, centrándose en la descentralización política y la calidad institucional. Se utilizaron datos de panel de 19 países (1995-2018), aplicando regresiones dinámicas y modelos autorregresivos de panel con identificación de shocks bajo un marco neoinstitucionalista para examinar las dinámicas entre turismo, instituciones y desigualdad. Los resultados muestran que el turismo inicialmente incrementa la desigualdad, pero su efecto acumulativo se debilita con el tiempo. Los shocks al turismo presentan un impacto mixto en el crecimiento económico y la desigualdad. En contextos de instituciones débiles y corrupción persistente, la descentralización no mejora la participación política y tiene efectos mixtos sobre la corrupción. La interacción entre autoridad regional y turismo, tras corregir el sesgo de Nickell, no es significativa, lo que sugiere que la descentralización puede agravar la desigualdad a largo plazo, aunque también impacte negativamente en la actividad turística. Esto respalda un canal identificado en la literatura sobre descentralización en América Latina: fallos institucionales y alta volatilidad en las instituciones regionales. Los hallazgos destacan la relevancia de la calidad institucional para el potencial redistributivo del turismo y la necesidad de reformas para aprovechar su crecimiento inclusivo.
Palabras clave: Turismo; desigualdad de ingresos; calidad institucional; descentralización política; VAR de panel.
Clasificación JEL: C33; D63; H77; O54; Z32.
Abstract
This study analyzes the impact of tourism on income inequality in Latin America, focusing on political decentralization and institutional quality. Panel data from 19 countries (1995–2018) were used, applying dynamic regressions and panel autoregressive models with shock identification under a neo-institutionalist framework to examine the dynamics between tourism, institutions, and inequality. The results show that tourism initially increases inequality, but its cumulative effect weakens over time. Tourism shocks have a mixed impact on economic growth and inequality. In contexts of weak institutions and persistent corruption, decentralization does not enhance political participation and has mixed effects on corruption. The interaction between regional authority and tourism, after correcting Nickell bias, is not significant, suggesting that decentralization may exacerbate long-term inequality, while also negatively affecting tourism activity. This supports a channel identified in the literature on decentralization in Latin America: institutional failures and high volatility in regional institutions. The findings underscore the relevance of institutional quality for tourism’s redistributive potential and the need for reforms to harness its inclusive growth.
Keywords: Tourism; income inequality; institutional quality; political descentralization; panel VAR.
JEL Codes: C33; D63; H77; O54; Z32.
El turismo en la región de Latinoamérica tiene una popularidad creciente debido a las posibilidades de países del sur global poder realizar encadenamientos productivos con este sector para garantizar crecimiento económico. Ahora bien, dado que Latinoamérica como región adolece de problemas de diseño institucional, se tiene cierto escepticismo de que los beneficios del turismo se repartan de manera eficiente, entiendo la eficiencia en términos de una distribución de ingresos Pareto-eficiente.
En la literatura empírica sobre turismo y desigualdad, se ha evidenciado que en los países en vías de desarrollo, el turismo tiende a agravar la desigualdad, lo cual se atribuye a diversas causas: 1) corrupción; 2) captura política del sector por parte de empresarios locales e internacionales; 3) falta de capacidad estatal; y 4) mercados oligopólicos, donde el turismo compite principalmente en precio y ofrece productos homogéneos (una situación común en países que promueven modelos de turismo de sol y playa con todo incluido). Dentro de la dimensión institucional, se destacan posibles mecanismos explicativos: 1) La provisión de bienes públicos no logra transformar la estructura productiva del sector, y 2) los mecanismos de revelación de preferencias diseñados por los gobiernos locales son incapaces de articular las demandas ciudadanas e integrar a la población en el proceso generador de ingresos del turismo. Todo esto agravado por la volatilidad institucional de la región. Estudios iniciales sugerían que los problemas de diseño institucional, especialmente en lo que respecta a la descentralización política, podrían ser la causa que, a través de dos canales (provisión deficiente de bienes públicos y escasa inclusión de las comunidades cercanas a la actividad turística), explican la relación entre turismo y desigualdad (Vellosillo y Vicario, 2015).
Una aproximación reciente a este problema es la de Gómez (2022). Mediante datos de panel robustos frente a sesgos dinámicos, se encontró que, a corto plazo, la falta de rendición de cuentas y los ingresos derivados del turismo tienen un efecto negativo en la desigualdad, mientras que a largo plazo su efecto no es significativo. Una limitación de esta investigación es que la especificación econométrica utilizada para capturar la capacidad del Gobierno de involucrar a la ciudadanía en la política turística no refleja adecuadamente el efecto de la descentralización política o las capacidades de los gobiernos subnacionales. Este estudio contribuye a la literatura sobre desigualdad, turismo e instituciones en América Latina al proponer una nueva forma de aproximar el efecto de estas dos variables: las capacidades de los gobiernos locales y el desarrollo turístico sobre la desigualdad.
El artículo está organizado de la siguiente manera: en la primera sección se presenta el marco teórico y la literatura empírica relacionada con la relación entre instituciones, gobiernos locales y/o descentralización política, y el desarrollo turístico en relación con la desigualdad, con un enfoque en la región. La siguiente sección describe la estrategia empírica utilizada, la muestra del estudio, las fuentes de datos, así como las técnicas y herramientas estadísticas empleadas. Luego, se detallan los resultados, tanto descriptivos como econométricos, comparando modelos tradicionales de datos de panel con la estrategia empírica propuesta. Finalmente, se presentan las conclusiones del estudio y las recomendaciones.
El sector turístico, aunque es un impulsor crucial del crecimiento económico y social, mantiene una relación complicada con la desigualdad. Esta relación varía según el contexto de cada país; en algunos casos, la industria turística puede inicialmente incrementar la desigualdad para luego beneficiar a la sociedad en su conjunto, mientras que, en otros, la brecha de desigualdad se amplía con el tiempo, incluso cuando en las etapas iniciales de desarrollo turístico la desigualdad se reducía (Al Tal et al., 2021; Alam y Paramati, 2016; Ghosh y Mitra, 2021). Algunas investigaciones muestran que el turismo puede disminuir la desigualdad en países con diferentes niveles de ingresos (Nguyen et al., 2020), aunque existen evidencias de que, en ciertos contextos, especialmente en Sudamérica, el turismo puede exacerbar las desigualdades estructurales (Büscher y Fletcher, 2016). Además, otros estudios señalan una relación negativa entre el turismo y la equidad en América Latina (Fang et al., 2020), y se ha observado que el turismo internacional podría aumentar la desigualdad de género (Nguyen, 2022).
Para entender el proceso de formación institucional en América Latina, es necesario primero comprender qué son las instituciones y cuáles son sus dimensiones. Según Douglass North, las instituciones son un conjunto de reglas o normas construidas socialmente, que permiten a los individuos tomar decisiones estratégicas en situaciones de incertidumbre (North, 1990). Dryzek (1996) sugiere que estas instituciones pueden dividirse en dos grandes categorías:
Las instituciones son uno de los factores más importantes para el desarrollo económico y la reducción de desigualdades políticas, económicas y sociales (Acemoglu et al., 2014; Chong y Gradstein, 2007; Levitsky y Murillo, 2012; Mahoney y Thelen, 2010; Przeworski, 1988; Thelen, 2009; Zhao, 2020). Sin embargo, la situación particular de América Latina revela la existencia de instituciones débiles, con alta volatilidad y bajo cumplimiento normativo (Levitsky y Murillo, 2005, 2010, 2012).
Incluso las transiciones democráticas en la segunda mitad del siglo XX en la región, como señala O’Donnell (2004), resultaron en democracias delegativas que, aunque poseen todos los elementos formales de una poliarquía en el sentido de Robert Dahl—es decir, participación inclusiva, libertades civiles, oposición política competitiva, elecciones frecuentes, libres y justas (mecanismos de rendición de cuentas vertical)—donde los ciudadanos tienen control sobre las políticas públicas (Dahl, 2008), según O’Donnell, estas democracias delegativas presentan vicios institucionales heredados de las dictaduras pasadas. Esto se traduce en que el poder ejecutivo goza de un cierto grado de discreción, y los mecanismos que limitan su poder operan de manera intermitente (lo que O’Donnell denomina rendición de cuentas horizontal, es decir, que en las democracias delegativas estos mecanismos están ausentes o funcionan de manera inconsistente) (O’Donnell, 2010).
Estos factores explican por qué la corrupción, con toda su heterogeneidad (Mella Gómez y Prestol Flaquer, 2023), está profundamente arraigada en la cultura política y en la administración pública, y por qué la región es extremadamente desigual, con escasa movilidad intergeneracional, aunque se han observado signos de reducciones significativas desde los años 2000 (Birdsall et al., 2013; Gasparini et al., 2010; Gasparini y Lustig, 2011; Hoffman y Centeno, 2003; Torche, 2014).
La descentralización política en América Latina ha experimentado transformaciones significativas. Según Ivan Finot (2001, 2002, 2005, 2007), el modelo centralista que predominó en la región, utilizado para la planificación y provisión de bienes públicos, se agotó especialmente tras las crisis económicas de los años 1980. Este agotamiento coincidió con los procesos de transición democrática postdictadura que O’Donnell (2004) señala. Con la adopción de las reformas del Consenso de Washington, la región inició un proceso de cambio institucional, pasando de un modelo centralista a uno más descentralizado (Finot, 2007). Sin embargo, este cambio trajo consigo varios problemas.
Por ejemplo, las ventajas esperadas de la descentralización, tales como la reducción de los costos de transacción en la provisión de bienes públicos, el fomento de la gobernabilidad democrática mediante la participación política y ciudadana, el alivio de los efectos negativos de los ajustes macroeconómicos de los años 1980, y la disminución de las desigualdades territoriales, tuvieron resultados mixtos en la región (Finot, 2007).
Además, la implementación de la descentralización durante la época del Consenso de Washington enfrentó varios problemas. Según la teoría de la descentralización política (Boettke y Marciano, 2016; W. Oates, 1972; W. E. Oates, 1968, 2008; Tiebout, 1956; Wallis y Oates, 1988) y el teorema de descentralización de Wallace Oates, la descentralización puede abordarse en tres dimensiones, según Finot (2007):
En América Latina, la descentralización se limitó principalmente a las dimensiones operativa y del gasto, sin una descentralización fiscal significativa. Este tipo de descentralización no solo no logra reducir las disparidades territoriales, sino que también su ausencia (solo acompañada por la operativa y del gasto) promueve el uso clientelar de los gobiernos locales y un aumento de la corrupción (Finot, 2002). Un aspecto positivo ha sido la expansión geográfica de las ayudas sociales, aunque muchas unidades subnacionales quedaron con escasa capacidad institucional (Finot, 2005).
Casos ilustrativos, como en la República Dominicana, ilustran a pesar de las divergencias idiosincráticas de cada país, ese patrón que ha seguido la descentralización en la región. A pesar de las reformas y cambios legislativos en las unidades subnacionales desde 1990, el país se encuentra entre los más fragmentados municipalmente en la región, comparable solo con El Salvador (Martínez-Vázquez et al., 2017). El problema radica en que la descentralización se ha enfocado en la dimensión del gasto y administrativa, dejando de lado la fiscal. Además, la normativa vigente incentiva a los municipios a escalar en la jerarquía territorial (de municipio a distrito municipal o de distrito a provincia) para obtener más recursos. Aunque la ley establece un mínimo de población para este ascenso, a menudo no se cumple, lo que genera más burocracia y territorios sin mecanismos institucionales que promuevan el desarrollo endógeno (Prestol Flaquer, 2022).
Esta investigación utilizará dos fuentes de datos longitudinales (también conocidos como datos de panel o “series de tiempo de corte transversal”) para analizar el impacto de dos variables principales: el turismo y las capacidades de las instituciones descentralizadas, como los gobiernos subnacionales y locales. La primera estrategia examina el efecto en 19 países de Latinoamérica durante el periodo de 1995 a 2018, abarcando 24 años. Los datos provienen de la Standarized World Inequality Database (Solt, 2020), para el PIB, población y otros datos demográficos, así como los datos de turismo, se utilizaron los indicadores de desarrollo del Banco Mundial con el fin de obtener información sobre el impacto del turismo en cada nación. Las variables de control institucional se obtuvieron de un conjunto de indicadores del proyecto Varieties of Democracy (VDEM) (Coppedge et al., 2019). Finalmente, para evaluar las capacidades institucionales de los gobiernos subnacionales o el grado de descentralización política, se utilizó el Regional Authority Index (RAI) (Hooghe et al., 2021).
Partiendo de Acemoglu et al. (2011) adaptamos su modelo teórico de la emergencia y persistencia de estados ineficientes porque es útil para analizar las relaciones e interdependencia de las variables de interés.
Realizaremos modelos de regresión que tienen la siguiente forma funcional:
En esta ecuación:
α es el término constante, ρ es el coeficiente de los rezagos de la desigualdad de ingresos ( Yi, t-j), sumados desde j = 1 hasta p (el número de rezagos). γ es el coeficiente del consumo del gobierno (GCit) para el país i en el tiempo t, β es el coeficiente del PIB (GDPit). Por otro lado, θ es el coeficiente de los ingresos por turismo Tit, ϕ es el coeficiente de la calidad institucional (Iit), ( κ) es el coeficiente de la variable corrupción, el cual representamos por Cit, λ es el coeficiente del índice de componentes deliberativos, el cual representamos con Dit; μ es el coeficiente de la calidad institucional regional(RQit) y por último uit es el término de error, en donde uit = ηi + δt.
Esta ecuación refleja un modelo donde la variable dependiente tiene un componente autorregresivo, mientras que todas las demás variables explicativas son contemporáneas. Como verificación de robustez, se estimará un modelo VAR de datos de panel para dar cuenta de la relación endógena que hay entre las variables de interés. Para identificar un modelo VAR (Vector Autoregression) adaptado a datos de panel que capture las relaciones dinámicas entre variables institucionales, económicas y de desigualdad, tomamos como referencia el marco teórico de Acemoglu et al. (2005), del cual autores han derivado diversos modelos que incluye la interacción entre élites, instituciones, votantes medios y sus efectos económicos y redistributivos, algunos ejemplos como (Acemoglu et al., 2021; Acemoglu y Robinson, 2006, 2008; Acemoglu y Verdier, 2000), para la estrategia de identificación. Este enfoque es útil para analizar cómo los choques de las instituciones políticas pueden afectar otras variables económicas clave. En términos matriciales, el sistema VAR se puede especificar como:
donde:
Yit es un vector de variables endógenas para el país i en el tiempo t, que incluye desigualdad de ingresos, ingresos por turismo, calidad institucional regional, corrupción, democracia deliberativa, PIB, entre otras. A es una matriz que captura las relaciones contemporáneas entre las variables del sistema. B(L) es una matriz de polinomios en el operador de rezagos L, que refleja las relaciones dinámicas entre las variables a lo largo del tiempo. uit es el vector de shocks estructurales, los cuales son ortogonales entre sí. Por otro lado, las variables a utilizar en el VAR de panel son:
Tabla 1
Tabla de identificación de las variables del modelo VAR
Variable |
Indicador |
Transformación |
Instituciones políticas |
Democracia electoral |
Logaritmos y primeras diferencias |
Autoridad Regional |
Primeras diferencias |
|
Poder político de facto/iure |
Índice de componentes participativos |
Logaritmos y primeras diferencias |
Índice de corrupción política |
Logaritmos y primeras diferencias |
|
Desempeño Económico |
Ingresos por artículos de viaje (USD) en millones. |
Logaritmos y primeras diferencias |
PIB per cápita (2017=100) PPA |
Logaritmos y primeras diferencias |
|
Distribución de los recursos |
Índice de Gini post-transferencias |
Logaritmos y primeras diferencias |
Fuente: Elaboración propia por el autor.
En el contexto de la investigación propuesta, nos interesa evaluar, un shock positivo de la calidad institucional regional (RQit) y como incidir en el poder político de iure/facto, por ende, atrayendo más turismo. Este aumento en el turismo, a su vez, puede influir en la desigualdad de ingresos (Yit) dependiendo de cómo se distribuyan los beneficios del turismo en la sociedad. La ordenación de Cholesky utilizada se describe en la tabla siguiente:
Tabla 2
Tabla resumen de la ordenación de Cholesky
Shock |
Respuestas |
Momento |
Democracia electoral (λD) |
Autoridad regional, Participación, Corrupción, Turismo, PIB y Gini |
1 |
Autoridad Regional [μ(RQ)] |
Democracia electoral, Participación, Corrupción, Turismo, PIB y Gini |
2 |
Turismo (θT) |
Participación, PIB y Gini |
3 |
Fuente: Elaboración propia por el autor.
El primer gráfico compara el Índice de Gini antes y después de transferencias gubernamentales en países de América Latina y el Caribe. A la izquierda, observamos el Gini antes de las transferencias, que refleja la desigualdad de ingresos en su estado bruto. Los países de Sudamérica, como Brasil y Argentina, exhiben mayores niveles de desigualdad, mientras que países de Centroamérica y el Caribe, como El Salvador y República Dominicana, muestran valores menores. A la derecha, el gráfico muestra cómo la desigualdad disminuye después de las transferencias, especialmente en los países sudamericanos.
El gráfico 2 presenta una comparación entre el Índice de Autoridad Regional (RAI) y el Índice de Componentes Deliberativos. A la izquierda, el RAI muestra que los países de Sudamérica, como Brasil y Argentina, tienen mayores niveles de descentralización y poder en los gobiernos regionales. En contraste, los países del Caribe tienen un bajo nivel de autonomía regional. A la derecha, el Índice de Componentes Deliberativos mide la calidad de los procesos democráticos en los países. Vemos que países como Uruguay, Argentina y Costa Rica se destacan con valores altos, lo que indica un fuerte componente deliberativo en sus democracias, mientras que países centroamericanos tienen menor calidad deliberativa.
Gráfico 1
Gráfico de caja de Gini antes y después de transferencias por país, 1995-2018

Fuente: Elaboración propia por el autor.
Gráfico 2
Índice de autoridad regional y componentes deliberativos por país, 1995-2018

Fuente: Elaboración propia por el autor.
En términos de consumo del gobierno, observamos que países como Argentina y Brasil tienen niveles más altos, superando el 20% del PIB, lo que refleja un mayor gasto público e intervención estatal en sus economías (gráfico 3). En contraste, países del Caribe y Centroamérica, como Jamaica, Guatemala y El Salvador, presentan niveles más bajos de gasto público, lo que puede limitar su capacidad de inversión en bienes públicos y servicios. El lado derecho, el Índice de Corrupción Política, muestra cómo países con mayores niveles de corrupción, como Paraguay, Nicaragua, Honduras, Guatemala y República Dominicana, enfrentan desafíos significativos en términos de transparencia y gobernanza, mientras que países como Chile y Uruguay destacan por sus bajos niveles de corrupción.
Gráfico 3
Consumo final del gobierno general e índice de corrupción política por país, 1995-2018

Fuente: Elaboración propia por el autor.
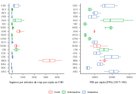
Por otro lado, el gráfico 4 ilustra del lado izquierdo los Ingresos por artículos de viaje per cápita. Barbados y Brasil destacan por los altos ingresos turísticos, mientras que otros países, especialmente en Centroamérica, presentan menores ingresos per cápita. A la derecha, el PIB per cápita ajustado por PPA refleja el nivel de desarrollo económico, donde Argentina, Panamá, Uruguay y Chile muestran valores más altos, en comparación con países como Nicaragua y Honduras, que tienen un PIB per cápita significativamente más bajo.
Gráfico 4
Ingresos por artículos de viaje per cápita y PIB per cápita PPA (2017=100), 1995-2018

Fuente: Elaboración propia por el autor.
El gráfico de la izquierda muestra el Índice de Democracia Deliberativa, que mide la calidad de los procesos de deliberación en las democracias. Uruguay, Chile y Argentina presentan altos niveles de deliberación, lo que sugiere democracias más participativas y transparentes. En contraste, algunos países de Centroamérica y el Caribe muestran niveles más bajos. A la derecha, el Índice de Autogobierno (RAI) indica el grado de autonomía política que tienen las regiones dentro de cada país. Los países sudamericanos, como Argentina y Brasil y México tienen altos niveles de autogobierno, lo que refleja su estructura federalista.
Gráfico 5
Índice de democracia deliberativa (poliarquía) e índice de Autogobierno por país, 1995-2018

Fuente: Elaboración propia por el autor.
Este gráfico compara el Índice de Gobierno Compartido (RAI), que mide la cooperación entre el gobierno central y las regiones, con la población de los países. Los países sudamericanos, como Brasil, México y Argentina, tienen un alto índice de gobierno compartido, lo que refleja una mayor interacción entre niveles de gobierno. A la derecha, observamos la población, donde Brasil destaca como el país más poblado de la región.
Gráfico 6
Índice de gobierno compartido y población por país, 1995-2018

Fuente: Elaboración propia por el autor.
En el gráfico 7 relación negativa entre los ingresos por turismo y la desigualdad (medida por el Índice de Gini post transferencias) en países de América Latina y el Caribe. A medida que los ingresos por turismo aumentan, la desigualdad tiende a disminuir, especialmente en Sudamérica y Centroamérica. Sin embargo, en países con altos niveles de corrupción, este efecto es menos evidente. El nivel de corrupción modera el impacto positivo del turismo en la reducción de la desigualdad. La relación observada es moderada, con una R² de 0.19, indicando que otras variables también influyen en la desigualdad.
Gráfico 7
Gráfico de dispersión: índice de Gini post transferencias e ingresos por artículo de viajes, 1995-2018

Fuente: Elaboración propia por el autor.
El gráfico 8 analiza la relación entre la descentralización política (RAI) y los ingresos por turismo en el Caribe, Centroamérica y Sudamérica, mostrando una relación no lineal. A niveles bajos de autoridad regional, los ingresos por turismo permanecen estancados, pero aumentan con mayor descentralización, sobre todo en Sudamérica. Sin embargo, no se observa una relación clara entre la desigualdad (medida por el Gini pre-transferencias) 2 y los ingresos turísticos, ya que los países con mayor desigualdad no siguen un patrón definido en términos de ingresos por turismo.
Gráfico 8
Diagrama de dispersión: Logaritmo de ingresos por artículos de viaje en dólares e índice de Autoridad Regional, 1995-2018

Fuente: Elaboración propia por el autor.
Este gráfico presenta la relación entre el Índice de Corrupción Política (VDEM) en el eje horizontal y el Índice de Gini después de transferencias (que mide la desigualdad) en el eje vertical. Se muestra una tendencia positiva moderada (R² = 0.13), lo que sugiere que, a mayor corrupción política, aumenta la desigualdad. Los puntos están codificados por región (Caribe, Centroamérica, Sudamérica) y el grosor de los bordes de los puntos indica el Índice de Democracia Electoral. Regiones como Sudamérica muestran mayor variabilidad en corrupción y desigualdad.
Gráfico 9
Diagrama de dispersión: Índice de Gini después de transferencias e Índice de Corrupción Política, 1995-2018

Fuente: Elaboración propia por el autor.
En la tabla 3 se encuentran los resultados de varias regresiones de panel dinámica y ciertas especificaciones econométricas que controlan por efectos fijos temporales y por países, corrigiendo los errores estándares a autocorrelación, heterocedasticidad y correlación contemporánea (ver Driscoll y Kraay, 19983). La interacción entre la autoridad regional y el turismo es estadísticamente significativa e incide negativamente en la desigualdad en el corto plazo mientras que en la autoridad regional contribuye con mayor desigualdad en el modelo en donde la actividad turística y la autoridad regional (o la descentralización) interactúan en el corto plazo. Sin embargo, variables como la participación política muestran significatividad y signo negativo en las especificaciones 3 a la 5.
Tabla 3
Resultados de regresión de panel
(1) |
(2) |
(3) |
(4) |
(5) |
|
Log(Gini) |
Log(Gini) |
Log(Gini) |
Log(Gini) |
Log(Gini) |
|
Log(Y)t-1 |
1.000*** |
0.998*** |
0.990*** |
0.989*** |
0.979*** |
(0.024) |
(0.027) |
(0.026) |
(0.027) |
(0.027) |
|
Log(INST) |
0.000 |
0.003 |
0.002 |
0.003 |
0.004 |
(0.007) |
(0.007) |
(0.007) |
(0.008) |
(0.008) |
|
RAI |
-0.000 |
0.000 |
0.001 |
0.001 |
0.006** |
(0.000) |
(0.001) |
(0.001) |
(0.001) |
(0.002) |
|
Log(COR) |
-0.009 |
-0.008 |
-0.008 |
-0.006 |
|
(0.006) |
(0.006) |
(0.007) |
(0.007) |
||
Log(PAR) |
-0.024 |
-0.028* |
-0.029* |
-0.031* |
|
(0.014) |
(0.012) |
(0.013) |
(0.012) |
||
Log(PIB) |
-0.021 |
-0.021* |
-0.023* |
||
(0.010) |
(0.009) |
(0.009) |
|||
Log(TUR) |
-0.000 |
-0.000 |
0.002 |
||
(0.002) |
(0.002) |
(0.002) |
|||
Log(GOVC) |
-0.001 |
-0.002 |
-0.003 |
||
(0.005) |
(0.004) |
(0.005) |
|||
Log(POB) |
0.007 |
0.006 |
|||
(0.022) |
(0.021) |
||||
Log(TUR) x RAI |
-0.000* |
||||
(0.000) |
|||||
Constante |
0.003 |
-0.019 |
0.217* |
0.000 |
0.000 |
(0.091) |
(0.105) |
(0.102) |
(.) |
(.) |
|
Obs |
437 |
437 |
437 |
437 |
437 |
Países |
19 |
19 |
19 |
19 |
19 |
R² Within |
0.969 |
0.970 |
0.971 |
0.971 |
0.971 |
σ2I |
Drisc/Kraay |
Drisc/Kraay |
Drisc/Kraay |
Drisc/Kraay |
Drisc/Kraay |
EF País |
Si |
Si |
Si |
Si |
Si |
EF temporales |
Si |
Si |
Si |
Si |
Si |
Errores estándares entre paréntesis. * p < 0.05, ** p < 0.01, *** p < 0.001.
Fuente: Elaboración propia por el autor.
Los resultados de la tabla 4 arrojan que el modelo VAR muestra relaciones clave entre instituciones políticas, corrupción, turismo, desigualdad y crecimiento económico. La democracia electoral (dlinst) tiene un impacto positivo en corrupción, desigualdad y crecimiento, mientras que una mayor descentralización (drai) reduce corrupción, pero afecta negativamente la calidad democrática. La participación cívica (dlpar) tiene un efecto negativo en la corrupción y se asocia con una disminución de la desigualdad, pero también reduce la calidad de la democracia electoral. La democracia electoral y la autoridad regional inciden positivamente en la actividad turística (dltur), la participación política la reduce y la corrupción incide positivamente en la misma. El crecimiento económico (dlpib) tiende a reducir la corrupción. Finalmente, la desigualdad (dlgini) persiste y afecta significativamente las instituciones regionales.
Tabla 4
Resultados del VAR de datos de panel
(1) |
|||||||
Inst |
Rai |
Par |
Cor |
Tur |
Pib |
Gini |
|
dlinstt-1 |
-0.10*** |
28.94*** |
0.28*** |
0.07*** |
1.82*** |
0.14*** |
0.18*** |
(0.01) |
(0.89) |
(0.01) |
(0.02) |
(0.06) |
(0.01) |
(0.01) |
|
drait-1 |
0.00*** |
-0.47*** |
0.00*** |
0.00 |
0.01** |
0.00 |
0.00*** |
(0.00) |
(0.03) |
(0.00) |
(0.00) |
(0.00) |
(0.00) |
(0.00) |
|
dlpart-1 |
0.27*** |
-14.69*** |
-0.43*** |
-0.98*** |
-0.15* |
0.09*** |
-0.05*** |
(0.01) |
(0.63) |
(0.01) |
(0.03) |
(0.07) |
(0.01) |
(0.01) |
|
dlcort-1 |
0.04*** |
3.45*** |
0.17*** |
-0.38*** |
0.12*** |
0.10*** |
0.01*** |
(0.00) |
(0.15) |
(0.00) |
(0.01) |
(0.03) |
(0.00) |
(0.00) |
|
dlturt-1 |
-0.00 |
-0.83*** |
-0.00 |
-0.04*** |
-0.21*** |
0.02*** |
0.00 |
(0.00) |
(0.18) |
(0.00) |
(0.01) |
(0.02) |
(0.00) |
(0.00) |
|
dlpibt-1 |
-0.10*** |
7.04*** |
0.24*** |
-1.14*** |
-2.56*** |
-0.11*** |
0.03* |
(0.01) |
(0.60) |
(0.01) |
(0.04) |
(0.11) |
(0.02) |
(0.02) |
|
dlginit-1 |
-0.32*** |
164.57*** |
2.34*** |
-1.43*** |
7.47*** |
1.24*** |
-0.25*** |
(0.08) |
(6.46) |
(0.12) |
(0.20) |
(0.33) |
(0.07) |
(0.05) |
|
N |
399 |
||||||
Países |
19 |
||||||
Test de Hansen |
354.84 |
||||||
p-valor |
0.42 |
||||||
σ2I |
Robusto |
||||||
Errores estándares entre paréntesis. Se utilizó 10 rezagos como instrumentos para atenuar el sesgo de paneles dinámicos y la heterogeneidad no observable se eliminó mediante transformación por primeras diferencias.* p < 0.05, ** p < 0.01, *** p < 0.001.
Elaboración propia por el autor.
Después de realizar estadísticos de diagnóstico del modelo (causalidad de Granger y estabilidad del VAR de panel)4, Se utilizó un total de 1000 simulaciones de Monte Carlo para estimar los errores estándares de las funciones impulso-respuestas ortogonalizadas en base a la secuencia recursiva explicada en la tabla 2. También las pruebas de estabilidad del VAR y de Causalidad de Granger fueron efectuadas y en el caso de la primera, el VAR posee estabilidad5.
Según el gráfico 10, innovaciones en la calidad de la democracia tiene un efecto positivo en la desigualdad que se desvanece en el segundo año (pero en términos acumulados es positivo a lo largo del tiempo) mientras que el efecto en la corrupción y en la participación es algo volátil en el corto plazo hasta el año 7 y 8, aunque se evidencia claramente una reducción en la corrupción política en el largo plazo, pero con oscilaciones. En términos acumulados, un shock o innovaciones en la democracia electoral tiene shock positivo en la desigualdad, es decir, la aumenta. Por otro lado, aunque con fluctuaciones hasta el 5to año, el efecto de una innovación en la autoridad regional (dn_RAI) es positivo en términos acumulados, tomando en cuenta que al año 10 un shock de explica casi un 10% de la varianza del pronóstico.
Gráfico 10
Funciones impulso respuesta: democracia electoral (Inst)

Fuente: Elaboración propia por el autor.
En términos generales, el shock en dn_RAI tiene un efecto notable sobre la corrupción política (dlogcor), con una caída inicial que luego se estabiliza (gráfico 11). También se observa un impacto sobre el PIB per cápita (dlogpib), donde el efecto inicial es positivo y se mantiene moderado. La desigualdad (dloggini) tiene una respuesta más fluctuante, pero se estabiliza a largo plazo, en términos acumulados es positiva. Los impactos sobre el turismo (dlogtur) y la participación política (dlogpar) muestran fluctuaciones en el corto plazo, pero se estabilizan en el mediano y largo plazo, siendo en ambos un impacto negativo.
Gráfico 11
Funciones impulso respuesta: Autoridad Regional (Rai)

Fuente: Elaboración propia por el autor.
El gráfico 12 de impulso-respuesta (IRF) y la IRF acumulada de un shock en turismo (dlogtur) muestra que, inicialmente, el turismo tiene un impacto positivo contemporáneo (que aumenta en el 1er año) en el PIB per cápita (dlogpib), aunque se estabiliza hacia un efecto positivo en los años siguientes. En cuanto a la desigualdad (dloggini), el efecto contemporáneo es nulo y luego es positivo en el primer año, pero tiende a estabilizarse en un efecto nulo a lo largo del tiempo (efecto transitorio). La participación política (dlogpar) y el turismo (dlogtur) muestran una respuesta positiva en el primer año, que luego se reduce a partir del segundo y se mantiene estable en cero.
Gráfico 12
Funciones impulso respuesta: Actividad turística (Tur)

Fuente: Elaboración propia por el autor.
Los resultados de este presente trabajo indagan en los efectos de la participación, la descentralización, por un lado, la actividad turística y la desigualdad en países de Latinoamérica. Consistente a los resultados de Gómez (2022) y de otros autores (Alam y Paramati, 2016; Fang et al., 2020; Ghosh y Mitra, 2021). Instituciones débiles y volátiles (Levitsky y Murillo, 2005, 2008, 2010, 2012; Murillo et al., 2021) propensas a la corrupción (Mella Gómez y Prestol Flaquer, 2023) terminan impactando de manera negativa en la desigualdad y aparentemente el turismo, por esas condiciones, no termina generando un efecto redistributivo considerable (e inclusive, aumentando la desigualdad tras la ordenación de Cholesky al menos en el primer al segundo año).
Por otro lado, los beneficios de la descentralización política, como sugiere la literatura latinoamericana, ya sea mediante modelos de forma reducida o mediante los resultados expresados en el VAR de panel, son mixtos, como ilustran Finot (2001, 2002, 2005, 2007) y Prestol Flaquer (2022) en donde lejos de incidir de manera positiva en la calidad de la democracia sino que inciden de manera negativa en la participación política y en la desigualdad (factor que incide en el poder político de facto futuro del votante medio) como indica Acemoglu y Robinson (2006, 2008), indicando que las instituciones regionales lejos de resolver desigualdades territoriales y de incentivar la participación política para que el votante medio pueda decidir para cambiar la distribución de rentas y poder, estos canales, que se evidencian en la literatura institucionalista que son mecanismos por los cuales se genera crecimiento y mejor distribución de rentas (Acemoglu et al., 2015, 2021). Estos hallazgos dejan la puerta abierta para nuevas líneas de investigación sobre en qué contextos la descentralización puede mejorar la participación política y como puede incidir en un turismo más inclusivo, con mejores resultados distributivos.
Acemoglu, D., & Robinson, J. A. (2006). De facto political power and institutional persistence. American economic review, 96(2), 325–330. https://doi.org/10.1257/000282806777212549
Acemoglu, D., & Robinson, J. A. (2008). Persistence of power, elites, and institutions. American Economic Review, 98(1), 267–293. https://doi.org/10.1257/aer.98.1.267
Acemoglu, D., & Verdier, T. (2000). The choice between market failures and corruption. American economic review, 90(1), 194–211. https://doi.org/10.1257/aer.90.1.194
Acemoglu, D., Egorov, G., & Sonin, K. (2021). Institutional change and institutional persistence. En The Handbook of Historical Economics (pp. 365–389). Elsevier. https://doi.org/10.1016/B978-0-12-815874-6.00021-6
Acemoglu, D., Gallego, F. A., & Robinson, J. A. (2014). Institutions, human capital, and development. Annual Review of Economics, 6, 875–912.
Acemoglu, D., García-Jimeno, C., & Robinson, J. A. (2015). State Capacity and Economic Development: A Network Approach. American Economic Review, 105(8), 2364–2409. https://doi.org/10.1257/aer.20140044
Acemoglu, D., Johnson, S., & Robinson, J. A. (2005). Chapter 6 Institutions as a Fundamental Cause of Long-Run Growth en Aghion, P. y Durlauf, Steven N. (Eds.), Handbook of Economic Growth Vol. 1 Part A. (pp. 385–472). North Holland https://doi.org/10.1016/S1574-0684(05)01006-3
Acemoglu, D., Ticchi, D., & Vindigni, A. (2011). Emergence and persistence of inefficient states. Journal of the European economic association, 9(2), 177–208. https://doi.org/10.1111/j.1542-4774.2010.01008.x
Al Tal, R., Mukheimer, T., Theodory, R., Zwayyed, Z., Almehdaw, N., Al Abdallat, D., & Saticilef, F. (2021). Tourism Industry Impacts On Spatial Inequality In The Dead Sea Region. Geography, Environment, Sustainability, 14(3), 54–62. https://doi.org/10.24057/2071-9388-2020-216
Alam, Md. S., & Paramati, S. R. (2016). The impact of tourism on income inequality in developing economies: Does Kuznets curve hypothesis exist? Annals of Tourism Research, 61, 111–126. https://doi.org/10.1016/j.annals.2016.09.008
Birdsall, N., Lustig, N., & McLeod, D. (2013). Declining inequality in Latin America: some economics, some politics. En Routledge handbook of Latin American politics (pp. 158–180). Routledge.
Boettke, P. J., & Marciano, A. (2016). The distance between Buchanan’s “An Economic Theory of Clubs” and Tiebout’s “A Pure Theory of Local Public Expenditures”. New insights based on an unpublished manuscript. The European Journal of the History of Economic Thought, 24(2), 205–237. https://doi.org/10.1080/09672567.2016.1168464
Büscher, B., & Fletcher, R. (2016). Destructive creation: capital accumulation and the structural violence of tourism. Journal of Sustainable Tourism, 25(5), 651–667. https://doi.org/10.1080/09669582.2016.1159214
Chong, A., & Gradstein, M. (2007). Inequality and institutions. The Review of Economics and Statistics, 89(3), 454–465. https://doi.org/10.1162/rest.89.3.454
Coppedge, M., Gerring, J., Knutsen, C. H., Krusell, J., Medzihorsky, J., Pernes, J., Skaaning, S.-E., Stepanova, N., Teorell, J., Tzelgov, E., Wilson, S. L., & Lindberg, S. I. (2019). The Methodology of “Varieties of Democracy” (V-Dem)1. Bulletin of Sociological Methodology/Bulletin de Méthodologie Sociologique, 143(1), 107–133. https://doi.org/10.1177/0759106319854989
Dahl, R. A. (2008). Polyarchy: Participation and opposition. Yale University Press.
Driscoll, J. C., & Kraay, A. C. (1998). Consistent Covariance Matrix Estimation with Spatially Dependent Panel Data. Review of Economics and Statistics, 80, 549–560. https://doi.org/10.1162/003465398557825
Dryzek, J. S. (1996). The informal logic of institutional design. En The theory of institutional design (pp. 103–125). Cambridge University Press. https://doi.org/10.1017/CBO9780511558320.005
Everaert, G., & Pozzi, L. (2007). Bootstrap-based bias correction for dynamic panels. Journal of Economic Dynamics and Control, 31(4), 1160–1184. https://doi.org/10.1016/j.jedc.2006.04.006
Fang, J., Gozgor, G., Paramati, S. R., & Wu, W. (2020). The impact of tourism growth on income inequality: Evidence from developing and developed economies. Tourism Economics, 27(8), 1669–1691. https://doi.org/10.1177/1354816620934908
Finot, I. (2001). Descentralización en América Latina: teoría y práctica (Núm. 12; Serie Gestión Pública). CEPAL. https://hdl.handle.net/11362/7261
Finot, I. (2002). Descentralización y participación en América Latina: una mirada desde la economía. Revista de la CEPAL, 78. https://hdl.handle.net/11362/10856
Finot, I. (2005). Descentralización, transferencias territoriales y desarrollo local. Revista de la CEPAL, 86. https://hdl.handle.net/11362/11067
Finot, I. (2007). Los procesos de descentralización en América Latina. Investigaciones Regionales - Journal of Regional Research, 10, 173–205.
Gasparini, L., & Lustig, N. (2011). The Rise and Fall of Income Inequality in Latin America. Oxford University Press. https://doi.org/10.1093/oxfordhb/9780199571048.013.0027
Gasparini, L., Cruces, G., Bergolo, M., & Ham, A. (2010). Vulnerability to Poverty in Latin America - Empirical Evidence from Cross-Sectional Data and Robustness Analysis with Panel Data. SSRN Electronic Journal. https://doi.org/10.2139/ssrn.1721003
Ghosh, S., & Mitra, S. K. (2021). Tourism and inequality: A relook on the Kuznets curve. Tourism Management, 83, 104255. https://doi.org/10.1016/j.tourman.2020.104255
Gómez, L. E. M. (2022). Turismo, vaivenes y desigualdad: cómo repercuten las instituciones participativas y de transparencia en la actividad turística y su incidencia en la desigualdad en Latinoamérica (2002-2019). Ciencia, Economía y Negocios, 6(1), 57–84. https://doi.org/10.22206/ceyn.2022.v6i1.pp57-84
Hoffman, K., & Centeno, M. A. (2003). The Lopsided Continent: Inequality in Latin America. Annual Review of Sociology, 29(1), 363–390. https://doi.org/10.1146/annurev.soc.29.010202.100141
Hooghe, L., Marks, G., Schakel, A. H., Niedzwiecki, S., Chapman-Osterkatz, S., & Shair-Rosenfield, S. (2021). Regional authority index (RAI) v. 3. EUI Research Data, 2021, Robert Schuman Centre for Advanced Studies.
Levitsky, S., & Murillo, M. V. (2005). Argentine democracy: The politics of institutional weakness. Penn State Press.
Levitsky, S., & Murillo, M. V. (2008). Argentina: From kirchner to kirchner. Journal of Democracy, 19(2), 16–30. https://doi.org/10.1353/jod.2008.0030
Levitsky, S., & Murillo, M. V. (2010). Variación en la fortaleza institucional. Revista de sociología, 24, 31–56. https://doi.org/10.5354/0719-529X.2010.14399
Levitsky, S., & Murillo, M. V. (2012). Construyendo instituciones sobre cimientos débiles: lecciones desde América Latina. Politai, 3, 17–44. https://revistas.pucp.edu.pe/index.php/politai/article/view/14124
Mahoney, J., & Thelen, K. (2010). A theory of gradual institutional change. En J. Mahoney y K. Thelen (Eds.), Explaining institutional change: Ambiguity, agency, and power (Vol. 1, pp. 1–37). Cambridge University Press.
Martínez-Vázquez, J., Radics, A., & Pérez, B. (2017). Descentralización en República Dominicana: desempeño actual y perspectivas de reforma (Documentos para Discusión Nº IDB-DP-522). https://doi.org/10.18235/0007182
Mella Gómez, L. E., & Prestol Flaquer, J. (2023). Corrupción, crecimiento e instituciones: ¿existe una tasa de sacrificio en América Latina? Problemas del Desarrollo. Revista Latinoamericana de Economía, 55(216), 3–34. https://doi.org/10.22201/iiec.20078951e.2024.216.70055
Murillo, V., Levitsky, S., & Brinks, D. (2021). La Ley y la trampa en América Latina: por qué optar por el debilitamiento institucional puede ser una estrategia política (1a ed.). Siglo XXI Editores.
Nguyen, C. P. (2022). Tourism and gender (in)equality: Global evidence. Tourism Management Perspectives, 41, 100933. https://doi.org/10.1016/j.tmp.2021.100933
Nguyen, C. P., Schinckus, C., Su, T. D., & Chong, F. H. L. (2020). The Influence of Tourism on Income Inequality. Journal of Travel Research, 60(7), 1426–1444. https://doi.org/10.1177/0047287520954538
North, D. C. (1990). Institutions, institutional change and economic performance (1a ed.). Cambridge University Press.
O’Donnell, G. (2004). Accountability horizontal: la institucionalización legal de la desconfianza política. Revista Española de Ciencia Política, 11, 11–31.
O’Donnell, G. (2010). Revisando la democracia delegativa. Casa del tiempo, 31, 2–8. https://www.uam.mx/difusion/casadeltiempo/31_iv_may_2010/casa_del_tiempo_eIV_num31_02_08.pdf
Oates, W. (1972). Fiscal Federalism (1a ed.). Edward Elgar Publishing.
Oates, W. E. (1968). The Theory of Public Finance in a Federal System. The Canadian Journal of Economics, 1(1), 37. https://doi.org/10.2307/133460
Oates, W. E. (2008). On the theory and practice of fiscal decentralization. En A. J. Auerbach y D. N. Shaviro (Eds.), Institutions and Foundations of Public Finance: Economic and Legal Perspectives (pp. 165–206). Harvard University Press.
Prestol Flaquer, J. R. (2022). ¿Es la municipalización un diseño institucional apropiado para la descentralización del desarrollo económico? Algunas consideraciones para el caso latinoamericano. En Premio Nacional de Ensayo sobre Alternativas de Economía Pública e Institucionalismo. UNAM.
Przeworski, A. (1988). Democracy as a Contingent Outcome of Conflicts. En Constitutionalism And Democracy. Cambridge University Press.
Solt, F. (2020). Measuring Income Inequality Across Countries and Over Time: The Standardized World Income Inequality Database. Social Science Quarterly, 101(3), 1183–1199. https://doi.org/10.1111/ssqu.12795
Thelen, K. (2009). Institutional change in advanced political economies. British Journal of Industrial Relations, 47, 471–498. https://doi.org/10.1111/j.1467-8543.2009.00746.x
Tiebout, C. M. (1956). A Pure Theory of Local Expenditures. Journal of Political Economy, 64(5), 416–424. https://doi.org/10.1086/257839
Torche, F. (2014). Intergenerational Mobility and Inequality: The Latin American Case. Annual Review of Sociology, 40(1), 619–642. https://doi.org/10.1146/annurev-soc-071811-145521
Vellosillo, P. S., & Vicario, A. F.-C. (2015). Trastorno obsesivo compulsivo. Medicine - Programa de Formación Médica Continuada Acreditado, 11(84), 5008–5014. https://doi.org/10.1016/j.med.2015.07.010
Wallis, J. J., & Oates, W. E. (1988). Decentralization in the public sector: An empirical study of state and local government. En Fiscal federalism: Quantitative studies (pp. 5–32). University of Chicago Press.
Zhao, L. (2020). Tourism, Institutions, and Poverty Alleviation: Empirical Evidence from China. Journal of Travel Research, 60(7), 1543–1565. https://doi.org/10.1177/0047287520947792
_______________________________
1 Ministerio de Hacienda y Economía, República Dominicana. ORCID: 0000-0001-8700-217X. Correo-e: luis.mella@economia.gob.do
2 Esta relación condicional también se presenta si ponderamos por el índice de Gini post-transferencias, indicando que el nivel de turismo condicional al nivel de autoridad regional no guarda relación con la desigualdad económica aún transferencias y subsidios del gobierno. Este gráfico no se incluyó por razones de espacio.
3 Aun corrigiendo por sesgo de paneles dinámicos usando Wild Bootstrap arroja similares resultados. Para mayor detalle de este tipo de correcciones de sesgo de Nickel ver Everaert y Pozzi (2007) y ver estimaciones con esta técnica en los anexos y material suplementario.